精英家教网 > 高中数学 > 题目详情

在平面直角坐标系中,直线的参数方程为(参数),圆的参数方程为(参数),则圆心到直线的距离为_______.

 

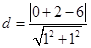
【答案】

.

【解析】

试题分析:直线的一般方程为,圆心坐标为,故圆心到直线的距离为

.

考点:1.参数方程与直角坐标方程之间的转化;2.点到直线的距离

 

练习册系列答案
相关习题

科目:高中数学 来源: 题型:

在平面直角坐标系xOy中,以O为极点,x正半轴为极轴建立极坐标系,曲线C的极坐标方程为:pcos(θ-
π3
)=1
,M,N分别为曲线C与x轴,y轴的交点,则MN的中点P在平面直角坐标系中的坐标为
 

查看答案和解析>>

科目:高中数学 来源: 题型:

在平面直角坐标系中,A(3,0)、B(0,3)、C(cosθ,sinθ),θ∈(
π
2
2
)
,且|
AC
|=|
BC
|

(1)求角θ的值;
(2)设α>0,0<β<
π
2
,且α+β=
2
3
θ
,求y=2-sin2α-cos2β的最小值.

查看答案和解析>>

科目:高中数学 来源: 题型:

在平面直角坐标系中,如果x与y都是整数,就称点(x,y)为整点,下列命题中正确的是
 
(写出所有正确命题的编号).
①存在这样的直线,既不与坐标轴平行又不经过任何整点
②如果k与b都是无理数,则直线y=kx+b不经过任何整点
③直线l经过无穷多个整点,当且仅当l经过两个不同的整点
④直线y=kx+b经过无穷多个整点的充分必要条件是:k与b都是有理数
⑤存在恰经过一个整点的直线.

查看答案和解析>>

科目:高中数学 来源: 题型:

在平面直角坐标系中,下列函数图象关于原点对称的是(  )

查看答案和解析>>

科目:高中数学 来源: 题型:

在平面直角坐标系中,以点(1,0)为圆心,r为半径作圆,依次与抛物线y2=x交于A、B、C、D四点,若AC与BD的交点F恰好为抛物线的焦点,则r=
 

查看答案和解析>>

同步练习册答案