精英家教网 > 高中数学 > 题目详情

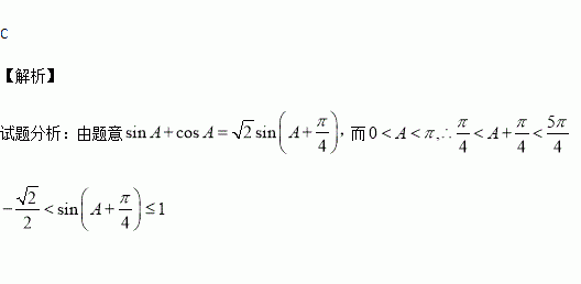
的内角,则的取值范围是

A. B. C. D.

练习册系列答案
相关习题

科目:高中数学 来源:2016届山东师大附中高三上学期第三次模拟理科数学试卷(解析版) 题型:选择题

为了得到函数的图像,可以将函数的图像( )

A.向右平移个单位 B.向右平移个单位

C.向左平移个单位 D.向左平移个单位

查看答案和解析>>

科目:高中数学 来源:2015-2016学年湖南省株洲市高二上期中数学试卷(解析版) 题型:填空题

已知双曲线的离心率为,则的值为

查看答案和解析>>

科目:高中数学 来源:2015-2016学年湖南省高二上期中数学试卷(解析版) 题型:填空题

命题“”的否定是_____________________________.

查看答案和解析>>

科目:高中数学 来源:2015-2016学年河南省高二上期中文科数学试卷(解析版) 题型:选择题

的内角,则的取值范围是

A. B. C. D.

查看答案和解析>>

科目:高中数学 来源:2015-2016学年河南省林州市高一上期中数学试卷(解析版) 题型:选择题

函数在同一坐标系中的图象只能是

查看答案和解析>>

科目:高中数学 来源:2015-2016学年海南省高一上第三次月考数学试卷(解析版) 题型:解答题

已知幂函数的图象经过点

(1)求函数的解析式,并画出图象;

(2)证明:函数上是减函数.

查看答案和解析>>

科目:高中数学 来源:2015-2016学年贵州省高二上滾动训练4数学试卷(解析版) 题型:解答题

已知函数的图象过点且点)在函数的图象上.

(1)求数列{}的通项公式;

(2)令若数列{}的前n项和为求证:

查看答案和解析>>

科目:高中数学 来源:2015-2016学年安徽省蚌埠市高二上期中文科数学试卷(解析版) 题型:选择题

若一个圆锥的侧面展开图是面积为的半圆面,则该圆锥的体积为( )

A. B. C. D.

查看答案和解析>>

同步练习册答案