精英家教网 > 高中数学 > 题目详情

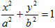
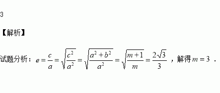
已知双曲线的离心率为,则的值为

练习册系列答案
相关习题

科目:高中数学 来源:2015-2016学年湖北省等四校高二上学期期中理科数学试卷(解析版) 题型:解答题

某研究机构对高二学生的记忆力x和判断力y进行统计分析,得下表数据

x

6

8

10

12

y

3

4

6

7

(1)请根据上表提供的数据,用最小二乘法求出y关于x的线性回归方程

(2)试根据(1)求出的线性回归方程,预测记忆力为9的同学的判断力.

查看答案和解析>>

科目:高中数学 来源:2016届河北省邯郸市高三一轮收官考试二理科数学试卷(解析版) 题型:选择题

已知函数的最小正周期是,若将其图像向右平移个单位后得到的图像关于原点对称,则函数的图像( )

A.关于直线对称

B.关于直线对称

C.关于点对称

D.关于点对称

查看答案和解析>>

科目:高中数学 来源:2015-2016学年江苏省江阴市华士、成化、山观三校高二上期中数学卷(解析版) 题型:填空题

圆锥的体积为,底面积为,则该圆锥侧面展开图的圆心角大小为

查看答案和解析>>

科目:高中数学 来源:2015-2016学年广西钦州港经济技术开发区中学高二上期中文科数学卷(解析版) 题型:解答题

如图,四棱柱ABCD﹣A1B1C1D1的底面ABCD是正方形,O为底面中心,A1O⊥平面ABCD,AB=AA1=

(Ⅰ)证明:平面A1BD∥平面CD1B1;

(Ⅱ)求三棱柱ABD﹣A1B1D1的体积.

查看答案和解析>>

科目:高中数学 来源:2015-2016年湖南省株洲市高二上第二次月考文数学卷(解析版) 题型:解答题

某网站针对2015年中国好声音歌手三人进行网上投票,结果如下

观众年龄

支持

支持

支持

20岁以下

200

400

800

20岁以上(含20岁)

100

100

400

(1)在所有参与该活动的人中,用分层抽样的方法抽取人,其中有6人支持,求的值.

(2)在支持的人中,用分层抽样的方法抽取6人作为一个总体,从这6人中任意选取2人,求恰有1

人在20岁以下的概率.

查看答案和解析>>

科目:高中数学 来源:2015-2016年湖南省株洲市高二上第二次月考理数学卷(解析版) 题型:选择题

已知椭圆(a>b>0)的左右焦点分别为F1,F2.P是椭圆上一点.PF1F2为以F2P为底边

的等腰三角形,当60°<PF1F2<120°,则该椭圆的离心率的取值范围是( )

A.() B.() C.() D.(0

查看答案和解析>>

科目:高中数学 来源:2015-2016学年河南省高二上期中理科数学试卷(解析版) 题型:选择题

的内角,则的取值范围是

A. B. C. D.

查看答案和解析>>

科目:高中数学 来源:2015-2016学年贵州省高二上滾动训练2数学试卷(解析版) 题型:填空题

在等比数列{an}中,an>0,若a1a5=16,a4=8,则a5=________.

查看答案和解析>>

同步练习册答案