精英家教网 > 高中数学 > 题目详情

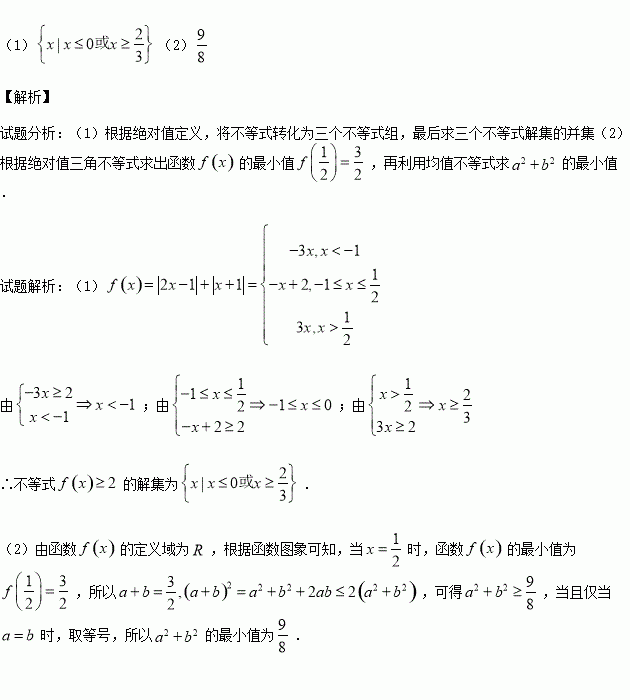
选修4-5:不等式选讲

设函数

(1)求的解集;

(2)若函数的最小值为均为正实数,,求的最小值.

练习册系列答案
相关习题

科目:高中数学 来源:2015-2016学年山东省济宁市任城区高二下期中理科数学试卷(解析版) 题型:选择题

用反证法证明命题:“设为实数,则方程至少有一个实根”时,要做的假设是( )

A.方程没有实根

B.方程至多有一个实根

C.方程至多有两个实根

D.方程恰好有两个实根

查看答案和解析>>

科目:高中数学 来源:2015-2016学年广东高州一中高二下学第一次月考理科数学试卷(解析版) 题型:选择题

已知复数,则 ( )

A. B. C. D.

查看答案和解析>>

科目:高中数学 来源:2015-2016学年西藏日喀则一中高二下期末文科数学试卷(解析版) 题型:填空题

函数)为增函数的区间是

查看答案和解析>>

科目:高中数学 来源:2015-2016学年西藏日喀则一中高二下期末文科数学试卷(解析版) 题型:选择题

如图是函数)图象的一部分.为了得到这个函数的图象,只要将)的图象上所有的点( )

A.向左平移个单位长度,再把所有各点的横坐标缩短到原来的,纵坐标不变

B.向左平移个单位长度,再把所有各点的横坐标伸长到原来的倍,纵坐标不变

C.向左平移个单位长度,再把所有各点的横坐标缩短到原来的,纵坐标不变

D.向左平移个单位长度,再把所有各点的横坐标伸长到原来的倍,纵坐标不变

查看答案和解析>>

科目:高中数学 来源:2016届河南省高考押题一理科数学试卷(解析版) 题型:解答题

如图,是边长为3的正方形,,且.

(1)试在线段上确定一点的位置,使得

(2)求二面角的余弦值.

查看答案和解析>>

科目:高中数学 来源:2016届河南省高考押题一理科数学试卷(解析版) 题型:选择题

已知某椭圆的方程为,上顶点为,左顶点为,设是椭圆上的任意一点,且面积的最大值为,若已知,点为椭圆上的任意一点,则的最小值为( )

A.2 B. C.3 D.

查看答案和解析>>

科目:高中数学 来源:2015-2016学年广东省高二下期中文科数学试卷(解析版) 题型:解答题

已知等差数列满足

(Ⅰ)求数列的前项和

(Ⅱ)若,求值。

查看答案和解析>>

科目:高中数学 来源:2015-2016学年浙江省高二下期中数学试卷(解析版) 题型:解答题

已知展开式各项系数和比它的二项式系数和大992.

(1)求展开式中含有的项;

(2)求展开式中系数最大的项.

查看答案和解析>>

同步练习册答案