精英家教网 > 高中数学 > 题目详情

已知定义域为R的函数是奇函数.

(Ⅰ)求a的值;

(Ⅱ)判断的单调性并证明;

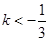
(Ⅲ)若对任意的,不等式恒成立,求的取值范围.

 

【答案】

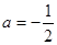
(Ⅰ);(Ⅱ)在R上为减函数,证明详见解析;(Ⅲ).

【解析】

试题分析:(Ⅰ)思路一、由可求得a的值;

思路二、由于是R上的奇函数,所以,由此也可求得a的值.

(Ⅱ)思路一:根据函数单调性的定义证明;思路二:利用导数证明.

(Ⅲ)因是奇函数,从而不等式等价于

在R上为减函数,由上式得:解此不等式即可.

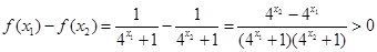
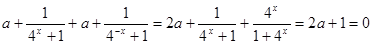
试题解析:(I)法一、函数的定义域为R,因为是奇函数,所以

,故

法二、由是R上的奇函数,所以,故

再由

通过验证来确定的合理性              4分

(Ⅱ)由(1)知

由上式易知在R上为减函数.

证明:法一、由(1)知

,则

所以,所以在R上为减函数.               8分

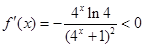
法二、由(1)知

求导得:,所以在R上为减函数.           8分

(Ⅲ)又因是奇函数,从而不等式等价于

在R上为减函数,由上式得:

即对一切

从而              12分

考点:1、函数的单调性和奇偶性;2、不等关系.

 

练习册系列答案
相关习题

科目:高中数学 来源: 题型:

(2010•石家庄二模)已知定义域为R的函数f(x)在(1,+∞)上为减函数,且函数y=f(x+1)为偶函数,则(  )

查看答案和解析>>

科目:高中数学 来源: 题型:

已知定义域为R的函数f(x)满足f(x)f(x+2)=5,若f(2)=3,则f(2012)=
5
3
5
3

查看答案和解析>>

科目:高中数学 来源: 题型:

已知定义域为R的函数f(x)在(4,+∞)上为减函数,且函数y=f(x)的对称轴为x=4,则(  )

查看答案和解析>>

科目:高中数学 来源: 题型:

已知定义域为R的函数f(x)=
-2x+a2x+1
是奇函数
(1)求a值;
(2)判断并证明该函数在定义域R上的单调性;
(3)若对任意的t∈R,不等式f(t2-2t)+f(2t2-k)<0恒成立,求实数k的取值范围;
(4)设关于x的函数F(x)=f(4x-b)+f(-2x+1)有零点,求实数b的取值范围.

查看答案和解析>>

科目:高中数学 来源: 题型:

已知定义域为R的函数f(x)满足f(4-x)=-f(x),当x<2时,f(x)单调递减,如果x1+x2>4且(x1-2)(x2-2)<0,则f(x1)+f(x2)的值(  )

查看答案和解析>>

同步练习册答案