精英家教网 > 高中数学 > 题目详情

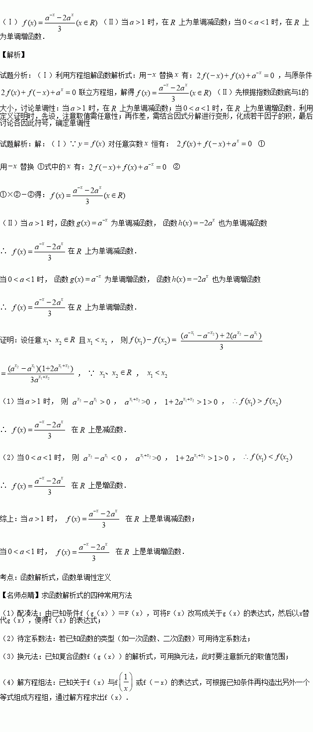
已知函数的定义域为,且对任意实数恒有)成立.

(Ⅰ)求函数的解析式;

(Ⅱ)讨论上的单调性, 并用定义加以证明.

练习册系列答案
相关习题

科目:高中数学 来源:2015-2016学年青海省高二期中考试数学试卷(解析版) 题型:选择题

已知为直线,为平面,下列结论正确的是( )

A.

B.

C.

D.

查看答案和解析>>

科目:高中数学 来源:2016上海复旦大学附中届高三上期中文科数学试卷(解析版) 题型:填空题

若集合,则 .

查看答案和解析>>

科目:高中数学 来源:2016届河北省高三上学期四调理科数学试卷(解析版) 题型:选择题

已知全集,则集合为( )

A. B. C. D.

查看答案和解析>>

科目:高中数学 来源:2015-2016学年吉林省高二11月月考理科数学卷(解析版) 题型:解答题

(本小题满分12分)

已知等差数列{}的公差,它的前项和为,若,且成等比数列.

(Ⅰ)求数列{}的通项公式;

(Ⅱ)若数列{}的前项和为,求证:

查看答案和解析>>

科目:高中数学 来源:2015-2016学年湖北武汉华中师大一附高一上期中数学试卷(解析版) 题型:填空题

已知函数上的图像是连续不断的一条曲线, 在用二分法研究函数的零点时, 第一次计算得到数据:,根据零点的存在性定理知存在零点 , 第二次计算 , 以上横线处应填的内容为( )

A.

B.

C.

D.

查看答案和解析>>

科目:高中数学 来源:2016届宁夏六盘山高中高三上学期第二次月考文科数学试卷(解析版) 题型:填空题

若对于一切实数,不等式恒成立,则的取值范围是_____.

查看答案和解析>>

科目:高中数学 来源:2016届湖南省株洲市高三上学期期中文科数学试卷(解析版) 题型:选择题

已知是两个不同平面,是两条不同直线,下列命题中假命题是

A.若,则

B.若,则

C.若,则

D.若,则

查看答案和解析>>

科目:高中数学 来源:2015-2016学年湖南衡阳八中高二上第二次月考文科数学卷(解析版) 题型:填空题

甲、乙两下棋,两人下成和棋的概率是,乙获胜的概率是,则甲获胜的概率是________.

查看答案和解析>>

同步练习册答案