精英家教网 > 高中数学 > 题目详情
已知数列{an}的前n项和为Sn,a1=1,nSn+1-(n+1)Sn=n2+cn(c∈R,n=1,2,3…),且S1成等差数列。
(1)求c的值;
(2)求数列{an}的通项公式。
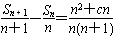
解:(1)∵nSn+1-(n+1)Sn=n2+cn(n=1,2,3,…)
(n=1,2,3,…)
成等差数列


∴c=1。
(2)由(1)得(n=1,2,3,…)
∴数列{}是首项为,公差为1的等差数列

∴Sn=n2
当n≥2时,an=Sn-Sn-1=n2-(n-1)2=2n-1
当n=1时,上式也成立
∴an=2n-1(n=1,2,3,…)。
练习册系列答案
相关习题

科目:高中数学 来源: 题型:

19、已知数列{an}的前n项和Sn=n2(n∈N*),数列{bn}为等比数列,且满足b1=a1,2b3=b4
(1)求数列{an},{bn}的通项公式;
(2)求数列{anbn}的前n项和.

查看答案和解析>>

科目:高中数学 来源: 题型:

已知数列{an}的前n项和Sn=an2+bn(a、b∈R),且S25=100,则a12+a14等于(  )
A、16B、8C、4D、不确定

查看答案和解析>>

科目:高中数学 来源: 题型:

已知数列{an}的前n项和Sn=n2+n+1,那么它的通项公式为an=
 

查看答案和解析>>

科目:高中数学 来源: 题型:

13、已知数列{an}的前n项和为Sn=3n+a,若{an}为等比数列,则实数a的值为
-1

查看答案和解析>>

科目:高中数学 来源: 题型:

已知数列{an}的前n项和Sn满足Sn+1=kSn+2,又a1=2,a2=1.
(1)求k的值及通项公式an
(2)求Sn

查看答案和解析>>

同步练习册答案