精英家教网 > 高中数学 > 题目详情

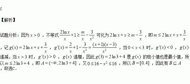
已知使关于的不等式对任意的恒成立的实数的取值集合为,函数的值域为,则有( )

A. B. C. D.

练习册系列答案
相关习题

科目:高中数学 来源:2015-2016学年广东汕头市高二下学期期末数学(文)试卷(解析版) 题型:选择题

一个算法的程序框图如图所示,该程序输出的结果为

A. B.

C. D.

查看答案和解析>>

科目:高中数学 来源:2016届陕西黄陵中学高三下二模考试数学(理)试卷(解析版) 题型:选择题

有两个零点,则实数的取值范围是( )

A. B. C. D.

查看答案和解析>>

科目:高中数学 来源:2017届河南新乡一中高三上学期周考9.18数学(文)试卷(解析版) 题型:选择题

设集合,若,则的取值范围是( )

A. B.

C. D.

查看答案和解析>>

科目:高中数学 来源:2017届甘肃武威二中高三上学期月考二数学(文)试卷(解析版) 题型:填空题

若正数满足为自然对数的底数),则实数的取值范围为___________.

查看答案和解析>>

科目:高中数学 来源:2017届甘肃武威二中高三上学期月考二数学(文)试卷(解析版) 题型:选择题

已知,则实数的大小关系为( )

A. B.

C. D.

查看答案和解析>>

科目:高中数学 来源:2016届浙江稽阳联谊学校高三4月联考数学(文)试卷(解析版) 题型:解答题

如图,过顶点在原点,对称轴为轴的抛物线上的定点作斜率分别为的直线,分别交抛物线两点.

(1)求抛物线的标准方程和准线方程;

(2)若,且的面积为,求直线的方程.

查看答案和解析>>

科目:高中数学 来源:2016届浙江稽阳联谊学校高三4月联考数学(文)试卷(解析版) 题型:选择题

”是“直线与直线平行”的( )

A.充分不必要条件 B.必要不充分条件

C.充要条件 D.既不充分也不必要

查看答案和解析>>

科目:高中数学 来源:2017届山东省高三第一次诊断数学(文)试卷(解析版) 题型:填空题

已知双曲线的左、右焦点分别是,正三角形的一边与双曲线左支交于点,且,则双曲线的离心率为

查看答案和解析>>

同步练习册答案