精英家教网 > 高中数学 > 题目详情
已知f(x)=|x2-1|+x2+kx,
(1)若k=2,求方程f(x)=0的解;
(2)若关于x的方程f(x)=0在(0,2)上有两个解x1,x2,求k的取值范围,并证明:
解:(1)当k=2时,
①当,即x≥1或x≤-1时,
方程化为,解得
因为,舍去,所以
②当,即-1<x<1时,方程化为2x+1=0,解得:
由①②得,当k=2时,方程f(x)=0的解为
(2)不妨设
因为
所以f(x)在(0,1]是单调函数,故f(x)=0在(0,1]上至多一个解,
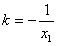
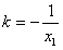
,则<0,故不符题意,因此
,得,所以k≤-1;
,得,所以
故当时,方程f(x)=0在(0,2)上有两个解;
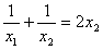
因为,所以
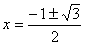
消去k,得

因为x2<2,所以
练习册系列答案
相关习题

科目:高中数学 来源: 题型:

已知f(x)=x2-(a+
1
a
)x+1

(Ⅰ)当a=
1
2
时,解不等式f(x)≤0;
(Ⅱ)若a>0,解关于x的不等式f(x)≤0.

查看答案和解析>>

科目:高中数学 来源: 题型:

已知f(x)=
x2(x>0)
e(x=0)
0(x<0)
,则f{f[f(-2)]}=(  )

查看答案和解析>>

科目:高中数学 来源: 题型:

已知f(x)=
x2,x>0
f(x+1),x≤0
则f(2)+f(-1)
=(  )

查看答案和解析>>

科目:高中数学 来源: 题型:

若函数f(x)对定义域中任意x,均满足f(x)+f(2a-x)=2b,则称函数y=f(x)的图象关于点(a,b)对称;
(1)已知f(x)=
x2-mx+1x
的图象关于点(0,1)对称,求实数m的值;
(2)已知函数g(x)在(-∞,0)∪(0,+∞)上的图象关于点(0,1)对称,且当x∈(0,+∞)时,g(x)=-2x-n(x-1),求函数g(x)在x∈(-∞,0)上的解析式;
(3)在(1)(2)的条件下,若对实数x<0及t>0,恒有g(x)+tf(t)>0,求正实数n的取值范围.

查看答案和解析>>

科目:高中数学 来源: 题型:

已知f(x)=x2,g(x)=(
1
2
)x-m
,若对任意x1∈[0,2],存在x2∈[1,2],使得f(x1)≥g(x2),则实数m的取值范围是
m
1
4
m
1
4

查看答案和解析>>

同步练习册答案