精英家教网 > 高中数学 > 题目详情

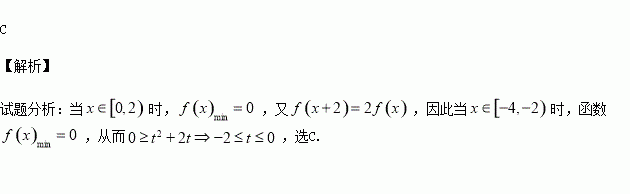
定义域为的函数满足,当时,,若当时,函数恒成立,则实数的取值范围为( )

A. B. C. D.

练习册系列答案
相关习题

科目:高中数学 来源:2015-2016学年四川省雅安市高一下学期期中文科数学试卷(解析版) 题型:填空题

中,若,则 .

查看答案和解析>>

科目:高中数学 来源:2015-2016学年贵州遵义一中高一下第二次联考数学试卷(解析版) 题型:解答题

设等比数列的前项和为,已知.

(1)求数列的通项公式;

(2)求该数列的前项和为.

查看答案和解析>>

科目:高中数学 来源:2016届山西省榆林市高三二模理科数学试卷(解析版) 题型:解答题

选修4-5:不等式选讲

已知,不等式的解集为.

(1)求集合;(2)当时,证明:.

查看答案和解析>>

科目:高中数学 来源:2016届山西省榆林市高三二模理科数学试卷(解析版) 题型:解答题

如图,已知平面上直线分别是上的动点,之间的一定点,的距离的距离三内角所对边分别为,且.

(1)判断的形状;

(2)记,求的最大值.

查看答案和解析>>

科目:高中数学 来源:2016届山西省榆林市高三二模理科数学试卷(解析版) 题型:选择题

下列命题正确的个数是( )

①命题“”的否定是“”;

②已知,则

③“平面向量的夹角是钝角”的充分必要条件是“”;

④已知数列为等比数列,则是数列为递增数列的必要条件;

A.3个 B.4个 C.1个 D.2个

查看答案和解析>>

科目:高中数学 来源:2016届吉林省高三五模文科数学试卷(解析版) 题型:解答题

设函数

(1)求不等式的解集;

(2)对任意实数,不等式成立,求实数的取值范围

查看答案和解析>>

科目:高中数学 来源:2016届吉林省高三五模文科数学试卷(解析版) 题型:选择题

函数的部分图像如图所示,则( )

A. B. C. D.

查看答案和解析>>

科目:高中数学 来源:2015-2016学年贵州遵义一中高二下联考理科数学试卷(解析版) 题型:选择题

已知定义在上的可导函数的导函数为,满足,且为偶函数,,则不等式的解集为( )

A. B. C. D.

查看答案和解析>>

同步练习册答案