精英家教网 > 高中数学 > 题目详情

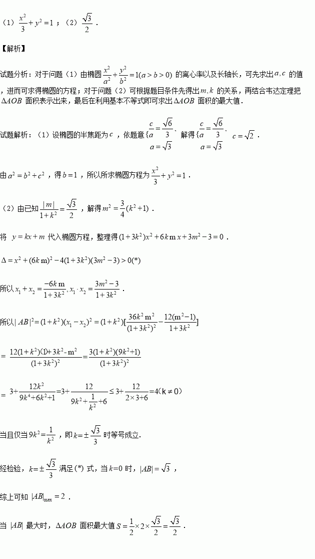
已知椭圆的离心率为,长轴长为,直线l:交椭圆于不同的两点A、B.

(1)求椭圆的方程;

(2)若坐标原点O到直线l的距离为,求△AOB面积的最大值.

练习册系列答案
相关习题

科目:高中数学 来源:2015-2016学年福建省高二下第一次月考文数学卷(解析版) 题型:选择题

设集合,则( )

A. B. C. D.

查看答案和解析>>

科目:高中数学 来源:2016届河北省高三下第一次模拟理科数学试卷(解析版) 题型:选择题

阅读如图所示的程序框图,运行相应的程序,若输出的,则判断框中填写的内容可以是( )

A. B. C. D.

查看答案和解析>>

科目:高中数学 来源:2015-2016学年青海省高一4月月考数学试卷(解析版) 题型:选择题

已知关于某设备的使用年限(单位:年)和所支出的维修费用(单位:万元)有如下的统计资料,

由上表可得线性回归方程,若规定当维修费用时该设备必须报废,据此模型预报该设备使用年限的最大值为( )

A.7 B.8 C.9 D.10

查看答案和解析>>

科目:高中数学 来源:2015-2016学年青海省高一4月月考数学试卷(解析版) 题型:选择题

现用系统抽样方法从已编号(1-60)的60枚新型导弹中,随机抽取6枚进行试验,则所选取的6枚导弹的编号可能是( )

A.5,10,15,20,25,30 B.2,4,8,16,32,48

C.5,15,25,35,45,55 D.1,12,34,47,51,60

查看答案和解析>>

科目:高中数学 来源:2015-2016学年湖南师大附中高二下第一次段测理数学试卷(解析版) 题型:填空题

设△的内角所对的边长分别为,且,则的最大值为_________________.

查看答案和解析>>

科目:高中数学 来源:2015-2016学年湖南师大附中高二下第一次段测理数学试卷(解析版) 题型:选择题

从0,2,4中取一个数字,从1,3,5中取两个数字,组成无重复数字的三位数,则所有不同的三位数的个数是( )

A.36 B.48 C.52 D.54

查看答案和解析>>

科目:高中数学 来源:2015-2016学年河北定州中学高一上学期周练一数学试卷(解析版) 题型:解答题

,函数的最大值是14,求的值.

查看答案和解析>>

科目:高中数学 来源:2016届重庆一中高三下高考适应性考试文科数学试卷(解析版) 题型:选择题

已知函数的导函数的图象如右图所示,则的图象最有可能的是( )

查看答案和解析>>

同步练习册答案