精英家教网 > 高中数学 > 题目详情

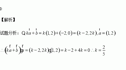
已知=(1,2),=(-2,0),且垂直,则k=( )

A. B. C. D.

练习册系列答案
相关习题

科目:高中数学 来源:2015-2016学年湖南五市十校教改共同体高二下期末数学(文)试卷(解析版) 题型:选择题

在锐角△ABC中,角A、B、C所对应的边分别为,若,则角等于( )

A.30° B.45° C.60° D.120°

查看答案和解析>>

科目:高中数学 来源:2015-2016学年湖南衡阳县一中高一下期末数学(文)试卷(解析版) 题型:选择题

已知幂函数的图象经过点,且,则实数的取值范围是( )

A. B. C. D.

查看答案和解析>>

科目:高中数学 来源:2015-2016学年湖南衡阳县一中高一下期末数学(理)试卷(解析版) 题型:填空题

已知函数,若关于x的方程f(x)﹣k=0有唯一一个实数根,则实数k的取值范围是 .

查看答案和解析>>

科目:高中数学 来源:2015-2016学年湖南衡阳县一中高一下期末数学(理)试卷(解析版) 题型:选择题

某几何体的三视图如图2所示,则该几何体的表面积为( )

A.16 B.

C. D.

查看答案和解析>>

科目:高中数学 来源:2017届三省高三上学期百校大联考数学(理)试卷(解析版) 题型:解答题

选修4-4:坐标系与参数方程

在平面直角坐标系中,已知曲线为参数),直线.

(1)在曲线上求一点,使点到直线的距离最大,并求出此最大值;

(2)过点且与直线平行的直线两点,求点两点的距离之积.

查看答案和解析>>

科目:高中数学 来源:2017届三省高三上学期百校大联考数学(理)试卷(解析版) 题型:填空题

中,角所对的边分别为,且满足,则____________.

查看答案和解析>>

科目:高中数学 来源:2016届浙江温州市高三第二次适应性考试数学(文)试卷(解析版) 题型:解答题

如图,动圆过点,且与直线相切于点.

(1)求圆心的轨迹的方程;

(2)过点任作一直线交轨迹两点,设的斜率分别为,问:是否为定值?若是,求出此定值;若不是,请说明理由.

查看答案和解析>>

科目:高中数学 来源:2017届河南息县第一高级中学高三上段测三试数学(理)试卷(解析版) 题型:选择题

已知复数,则复数的共轭复数在复平面内对应的点在( )

A.第一象限 B.第二象限 C.第三象限 D.第四象限

查看答案和解析>>

同步练习册答案