精英家教网 > 高中数学 > 题目详情

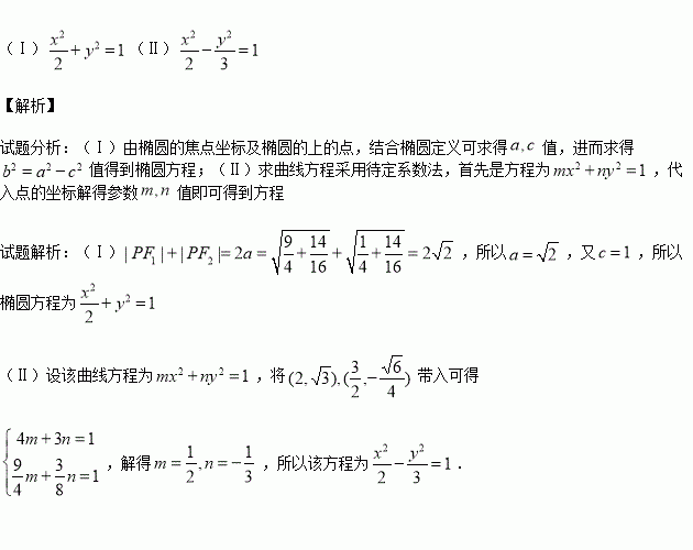
(本小题满分12分)

(Ⅰ)已知某椭圆的左右焦点分别为,且经过点,求该椭圆的标准方程;

(Ⅱ)某圆锥曲线以坐标轴为对称轴,中心为坐标原点,且过点,求该曲线的标准方程;

练习册系列答案
相关习题

科目:高中数学 来源:2015-2016学年山东省高一上学期期中模块考试数学试卷(解析版) 题型:填空题

幂函数的图象过点,那么的值为

查看答案和解析>>

科目:高中数学 来源:2015-2016学年福建省高一上学期期中考试数学试卷(解析版) 题型:选择题

已知函数是函数的反函数,则( )

A. B. C. D.

查看答案和解析>>

科目:高中数学 来源:2014-2015学年上海市高二下学期期末考试数学试卷(解析版) 题型:填空题

在二项式的展开式中,含的项的系数是 .(用数字作答)

查看答案和解析>>

科目:高中数学 来源:2015-2016学年山东省临沂市高二上期中模拟理数学试卷(解析版) 题型:解答题

已知数列{an}的前n项和是Sn,且Sn+an=1.

(1)求数列{an}的通项公式;

(2)设bn=log3(1-Sn+1),求适合方程+…+的n的值.

查看答案和解析>>

科目:高中数学 来源:2015-2016学年辽宁省大连市高二上期中理科数学试卷(解析版) 题型:解答题

(本小题满分12分)

已知动点在双曲线上,定点,求的最小值以及取最小值时点的横坐标.

查看答案和解析>>

科目:高中数学 来源:2015-2016学年江西省等三校高二上第一次联考数学试卷(解析版) 题型:填空题

与直线2x+3y+5=0平行,且在两坐标轴上截距的和为6的直线方程是________

查看答案和解析>>

科目:高中数学 来源:2015-2016学年湖南省高一上学期期中考试数学试卷(解析版) 题型:选择题

函数y=|lg(x+1)|的图象是 ( )

查看答案和解析>>

科目:高中数学 来源:2016届重庆市高三上学期第三次月考理科数学试卷(解析版) 题型:选择题

设集合分别是函数的定义域和值域,则( )

A. B. C. D.

查看答案和解析>>

同步练习册答案