精英家教网 > 高中数学 > 题目详情

(本小题满分l2分)

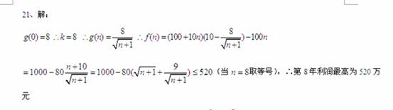
某工厂去年产品的年产量为100万只,每只产品的销售价为10元,今年工厂每次投入100万元(科持成本),并计划以后每年比上一年多投入100万元(科技成本),预计产量年递增10万只,每n次投入后,每只产品的固定成本为元(的常数,元),若产品销售价保持不变,第n次投入后的年利润为万元,(利润=收入-科技成本——固定成本) 则从今年算起第年利润最高,且为多少万元?

练习册系列答案
相关习题

科目:高中数学 来源:2011-2012学年山东省高三下学期模拟冲刺考试理科数学试卷(解析版) 题型:解答题

(本小题满分l2分)已知数列{an}中,a1=1,a2=3且2an+1=an+2+an(n∈N*).数列{bn}的前n项和为Sn,其中b1=-,bn+1=-Sn(n∈N*).

(1)求数列{an}和{bn}的通项公式;

(2)若Tn+…+,求Tn的表达式

 

查看答案和解析>>

科目:高中数学 来源:2011-2012学年山东省高三下学期模拟冲刺考试理科数学试卷(解析版) 题型:解答题

(本小题满分l2分)已知椭圆的的右顶点为A,离心率,过左焦点作直线与椭圆交于点P,Q,直线AP,AQ分别与直线交于点

(Ⅰ)求椭圆的方程;

(Ⅱ)证明以线段为直径的圆经过焦点

 

查看答案和解析>>

科目:高中数学 来源:2011-2012学年贵州省高三年级第五次月考文科数学 题型:解答题

(本小题满分l2分)(注意:在试题卷上作答无效)

求经过A(2,-1),和直线x+y=1相切,且圆心在直线y=-2x上的圆的方程

(I)求出圆的标准方程

(II)求出(I)中的圆与直线3x+4y=0相交的弦长AB

 

查看答案和解析>>

科目:高中数学 来源:2010-2011学年广东省高三上学期10月月考理科数学卷 题型:解答题

(本小题满分l2分)设命题:函数)的值域是;命题:指数函数上是减函数.若命题“”是假命题,求实数的范围.

 

查看答案和解析>>

科目:高中数学 来源:2013届山西省高二第二学期3月月考理科数学试卷 题型:解答题

(本小题满分l2分)求垂直于直线并且与曲线相切的直线方程.

 

查看答案和解析>>

同步练习册答案