精英家教网 > 高中数学 > 题目详情

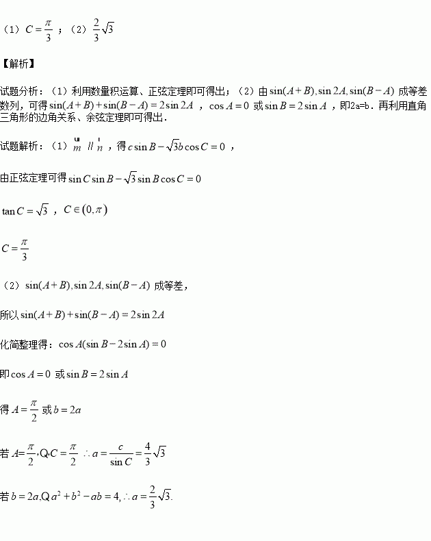
(本小题满分12分)在中,角的对边分别为,已知,向量

,且

(1)求角的大小;

(2)若成等差数列,求边的大小.

练习册系列答案
相关习题

科目:高中数学 来源:2014-2015学年湖北武汉外国语学校高二上学期期中考试文科数学试卷(解析版) 题型:选择题

的顶点的内切圆圆心在直线上,则顶点C的轨迹方程是( )

A. B.

C. D.

查看答案和解析>>

科目:高中数学 来源:2016届四川省高三上学期10月段考文科数学试卷(解析版) 题型:解答题

(本题满分12分)已知函数f(x)= sin2x+2 sinxcosx+3cos2x,x∈R.求:

(1)函数f(x)的最小正周期和单调递增区间;

(2)函数f(x)在区间上的值域.

查看答案和解析>>

科目:高中数学 来源:2016届宁夏银川一中高三上学期第三次月考理科数学试卷(解析版) 题型:解答题

(本小题满分12分)已知函数

(Ⅰ)设,求的单调区间;

(Ⅱ) 设,且对于任意.试比较的大小.

查看答案和解析>>

科目:高中数学 来源:2016届江苏省高三上学期第二次月考理科数学试卷(解析版) 题型:解答题

已知函数的部分图象如图所示.

(1)求函数的解析式;

(2)若,求函数在区间上的单调减区间.

查看答案和解析>>

科目:高中数学 来源:2016届湖北武汉华中师大第一附中高三上期中考试理科数学试卷(解析版) 题型:解答题

(本小题满分12分)(解答过程写在试卷上无效)

已知函数

(1)求函数的最值;

(2)当时,是否存在过点的直线与函数的图像相切?若存在,有多少条?若不存在,说明理由.

查看答案和解析>>

科目:高中数学 来源:2016届湖北省、宜昌一中高三10月联考文科数学试卷(解析版) 题型:选择题

已知函数,若存在实数,满足,且,则的取值范围是( )

A. B. C. D.

查看答案和解析>>

科目:高中数学 来源:2016届浙江省瑞安市高三上学期第一次四校联考文科数学试卷(解析版) 题型:填空题

已知角的终边经过点(-4,3),则= =

查看答案和解析>>

科目:高中数学 来源:2015-2016学年江西省高二上学期第一次月考数学试卷(解析版) 题型:解答题

(10分)四面体ABCD及其三视图如图所示,平行于棱AD,BC的平面分别交四面体的棱AB,BD,DC,CA于点E,F,G,H.

(1)求四面体ABCD的体积;

(2)证明:四边形EFGH是矩形.

查看答案和解析>>

同步练习册答案