精英家教网 > 高中数学 > 题目详情

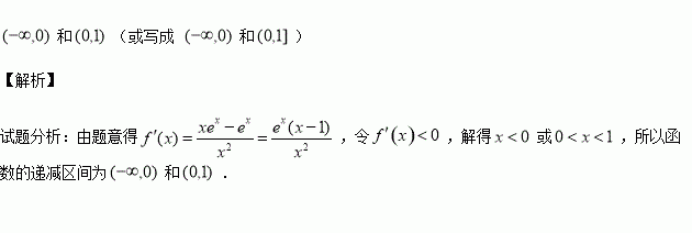
函数的单调递减区间是 .

练习册系列答案
相关习题

科目:高中数学 来源:2015-2016学年湖南长郡中学高二下第一次检测理数学卷(解析版) 题型:选择题

已知,对任意的,存在实数满足,使得,则的最大值为( )

A.2 B.3 C.4 D.5

查看答案和解析>>

科目:高中数学 来源:2015-2016学年湖南师大附中高二下期中理科数学试卷(解析版) 题型:选择题

甲、乙、丙、丁、戌5人站成一排,要求甲、乙均不与丙相邻,则不同的排法种数为( )

A.72种 B.36种 C.54种 D.24种

查看答案和解析>>

科目:高中数学 来源:2015-2016学年湖南师大附中高二下期中理科数学试卷(解析版) 题型:选择题

下列几何体中,正视图、侧视图和俯视图都相同的是( )

A.圆柱 B.圆锥 C.球 D.三棱锥

查看答案和解析>>

科目:高中数学 来源:2016届安徽省淮南市高三下学期二模文科数学试卷(解析版) 题型:解答题

为了传承经典,促进课外阅读,某市从高中年级和初中年级各随机抽取40名同学进行有关对“四大名著”常识了解的竞赛.下图1和图2分别是高中和初中年级参加竞赛的学生成绩按分组,得到频率分布直方图.

(1)若初中年级成绩在之间的学生中恰有4名女同学,现从成绩在该组的初中年级的学生任选2名同学,求其中至少有1名男同学的概率;

(2)完成下列列联表,并回答是否有99%的把握认为“两个学段的学生对‘四大名著’的了解有差异”?

查看答案和解析>>

科目:高中数学 来源:2016届安徽省淮南市高三下学期二模文科数学试卷(解析版) 题型:选择题

若变量满足约束条件,则的最小值是( )

A.3 B.1 C.-3 D.不存在

查看答案和解析>>

科目:高中数学 来源:2016届安徽省淮南市高三下学期二模文科数学试卷(解析版) 题型:选择题

已知,则的值为( )

A. B. 2 C. D.-2

查看答案和解析>>

科目:高中数学 来源:2016届安徽省淮南市高三下学期二模理科数学试卷(解析版) 题型:选择题

已知函数满足恒成立,则函数( )

A.一定为奇函数 B.一定为偶函数

C. 一定为奇函数 D.一定为偶函数

查看答案和解析>>

科目:高中数学 来源:2016届河北省石家庄市高三二模文科数学试卷(解析版) 题型:填空题

已知函数,若过点可作曲线的两条切线,则实数的值为_____.

查看答案和解析>>

同步练习册答案