精英家教网 > 高中数学 > 题目详情
已知定义域为R的函数是奇函数.
(1)求m、n的值并指出函数y=f(x)在其定义域上的单调性(不要求证明);
(2)解不等式f(x+2)+f(2x-1)<0.
【答案】分析:(1)由f(0)=0可得n的值,利用f(1)=-f(-1),可得m的值,从而可得函数的解析式,进而可得函数的单调性;
(2)利用函数的单调性与奇偶性,将不等式转化为具体不等式,从而可得不等式的解集.
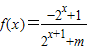
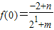
解答:解:(1)f(0)=0得,所以n=1,所以
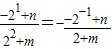
由f(1)=-f(-1)得,∴m=2------------------(4分)
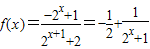
由(1)知
由上式知f(x)在(-∞,+∞)上为减函数---------------------------------(6分)
(2)又因f(x)是奇函数,从而不等式f(x+2)+f(2x-1)<0等价于f(x+2)<-f(2x-1)=f(1-2x),
因为f(x)是减函数,所以x+2>1-2x,即
所以原不等式的解集是.----(12分)
点评:本题考查函数的单调性与奇偶性,考查解不等式,确定函数的解析式与单调性是解题的关键.
练习册系列答案
相关习题

科目:高中数学 来源: 题型:

(2010•石家庄二模)已知定义域为R的函数f(x)在(1,+∞)上为减函数,且函数y=f(x+1)为偶函数,则(  )

查看答案和解析>>

科目:高中数学 来源: 题型:

已知定义域为R的函数f(x)满足f(x)f(x+2)=5,若f(2)=3,则f(2012)=
5
3
5
3

查看答案和解析>>

科目:高中数学 来源: 题型:

已知定义域为R的函数f(x)在(4,+∞)上为减函数,且函数y=f(x)的对称轴为x=4,则(  )

查看答案和解析>>

科目:高中数学 来源: 题型:

已知定义域为R的函数f(x)=
-2x+a2x+1
是奇函数
(1)求a值;
(2)判断并证明该函数在定义域R上的单调性;
(3)若对任意的t∈R,不等式f(t2-2t)+f(2t2-k)<0恒成立,求实数k的取值范围;
(4)设关于x的函数F(x)=f(4x-b)+f(-2x+1)有零点,求实数b的取值范围.

查看答案和解析>>

科目:高中数学 来源: 题型:

已知定义域为R的函数f(x)满足f(4-x)=-f(x),当x<2时,f(x)单调递减,如果x1+x2>4且(x1-2)(x2-2)<0,则f(x1)+f(x2)的值(  )

查看答案和解析>>

同步练习册答案