精英家教网 > 高中数学 > 题目详情

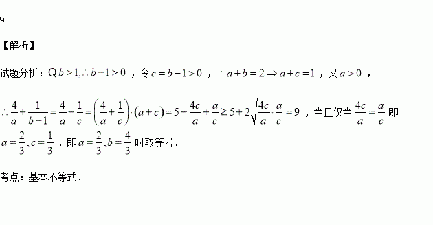
,若的最小值为

练习册系列答案
相关习题

科目:高中数学 来源:2016届福建省高三上学期期中考理科数学试卷(解析版) 题型:填空题

已知),经计算得,则可以归纳出一般结论:当时,有

查看答案和解析>>

科目:高中数学 来源:2016届四川省成都市高三11月阶段测试文科数学试卷(解析版) 题型:填空题

式子的值是

查看答案和解析>>

科目:高中数学 来源:2016届湖南师范大学附中高三上学期月考三理科数学试卷(解析版) 题型:填空题

设点在直线上运动,过点作圆的切线,切点为,则切线长的最小值是

查看答案和解析>>

科目:高中数学 来源:2016届甘肃省高三12月月考文科数学试卷(解析版) 题型:选择题

已知函数,n∈N*的图象与直线交于点P,若图象在点P处的切线与x轴交点的横坐标为,则+…+的值为( )

A.-1 B.1-log20132012 C.-log20132012 D.1

查看答案和解析>>

科目:高中数学 来源:2016届福建省高三上学期半期考试文科数学试卷(解析版) 题型:解答题

等差数列的前n项和为,且满足

(Ⅰ)求数列的通项公式;

(Ⅱ)设,数列的前n项和为,求证:

查看答案和解析>>

科目:高中数学 来源:2016届福建省高三上学期半期考试理科数学试卷(解析版) 题型:填空题

在△ABC中,内角A,B,C所对的边分别为a,b,c,已知△ABC的面积为,则a的值为

查看答案和解析>>

科目:高中数学 来源:2015-2016学年四川省实验学校高二上学期期中文科数学试卷(解析版) 题型:选择题

如图,正方体ABCD-A1B1C1D1中,E是棱B1C1的中点,动点P在底面ABCD内,且PA1=A1E,则点P运动形成的图形是

A.线段 B.圆弧

C.椭圆的一部分 D.抛物线的一部分

查看答案和解析>>

科目:高中数学 来源:2016届福建省高三上学期期中文科数学试卷(解析版) 题型:解答题

设函数

(1)若,证明:

(2)若,求a的取值范围.

查看答案和解析>>

同步练习册答案