精英家教网 > 高中数学 > 题目详情

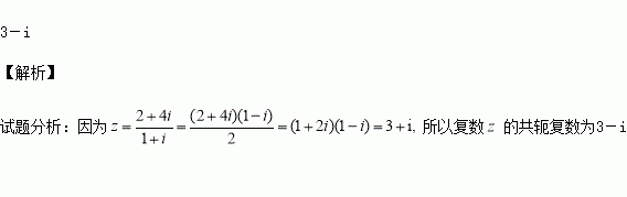
设复数z满足z(1+i)=2+4i,其中i为虚数单位,则复数的共轭复数为

练习册系列答案
相关习题

科目:高中数学 来源:2015-2016学年河南省鹤壁市高一下学期分班考试数学试卷(解析版) 题型:选择题

下列函数在区间上是增函数的是( )

A. B. C. D.

查看答案和解析>>

科目:高中数学 来源:2015-2016学年北京市西城区高一上学期期末考试数学试卷(解析版) 题型:选择题

是( )

A.最小正周期为的偶函数

B.最小正周期为的奇函数

C.最小正周期为的偶函数

D.最小正周期为的奇函数

查看答案和解析>>

科目:高中数学 来源:2016届江苏省南京市高三第三次模拟考试数学试卷(解析版) 题型:填空题

若实数x,y满足2x2+xy-y2=1,则的最大值为

查看答案和解析>>

科目:高中数学 来源:2016届江苏省南京市高三第三次模拟考试数学试卷(解析版) 题型:填空题

设数列{an}的前n项和为Sn,满足Sn=2an-2,则

查看答案和解析>>

科目:高中数学 来源:2015-2016学年广东省高二上学期期末考试文科数学试卷(解析版) 题型:解答题

如图所示,在四棱锥中,平面,又,且.

(1)在网格中画出四棱准的正视图;

(2)求证:平面平面

(3)在棱上是否存在一点,使得平面,若存在,求的值. 若不存在,请说明理由

查看答案和解析>>

科目:高中数学 来源:2015-2016学年广东省高二上学期期末考试文科数学试卷(解析版) 题型:选择题

已知抛物线方程为,直线的方程为,在抛物线上有一动点P到轴的距离为,P到的距离为,则的最小值为( )

A. B. C. D.

查看答案和解析>>

科目:高中数学 来源:2015-2016学年广东省高二上学期期末考试理科数学试卷(解析版) 题型:填空题

已知双曲线的右焦点, 在双曲线的左支上,,当的周长最小值时,该三角形的面积为

查看答案和解析>>

科目:高中数学 来源:2016届江苏省等四校高三联考数学试卷(解析版) 题型:填空题

设集合,则实数的值为________.

查看答案和解析>>

同步练习册答案