精英家教网 > 高中数学 > 题目详情

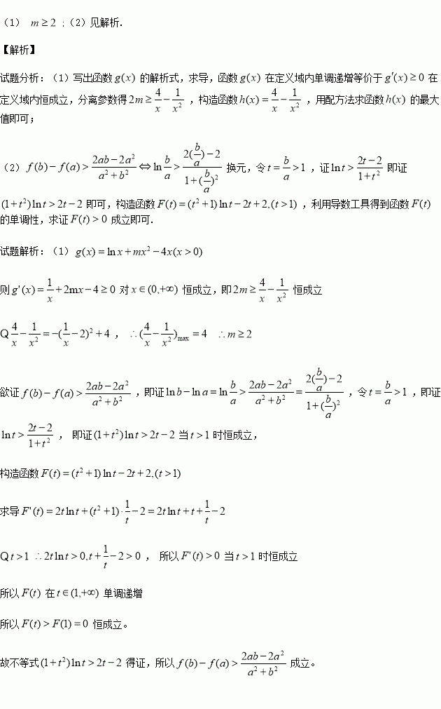
(本小题满分12分)已知函数=lnx。

(1)求函数g(x)=f(x)+mx2?4x在定义域内单调递增,求实数m的取值范围;

(2)若b>a>0,求证:f(b)?f(a)>

练习册系列答案
相关习题

科目:高中数学 来源:2016届吉林省长春市高三质量监测文科数学试卷(解析版) 题型:选择题

已知向量满足,则 ( )

A. B. C. D.

查看答案和解析>>

科目:高中数学 来源:2014-2015学年山东省高二下学期期末理科数学试卷(解析版) 题型:选择题

用反证法证明命题:“三角形的内角中至少有一个不大于60度”时,假设正确的是( )

A.假设三内角都不大于60度

B.假设三内角都大于60度

C.假设三内角至多有一个大于60度

D.假设三内角至多有两个大于60度

查看答案和解析>>

科目:高中数学 来源:2014-2015学年湖北省宜昌市高二下学期期末文科数学试卷(解析版) 题型:选择题

已知命题,则( )

A. B.

C. D.

查看答案和解析>>

科目:高中数学 来源:2014-2015学年广西河池市高二下学期期末理科数学试卷(解析版) 题型:解答题

已知函数处取得极值.

(1)求a、b的值;

(2)求过点且与曲线相切的切线方程.

查看答案和解析>>

科目:高中数学 来源:2016届重庆市高三10月月考文科数学试卷(解析版) 题型:选择题

已知集合U={1,2,3,4,5,6},A={2,3,5},B={1,3,4,6},则集合ACUB=( )

A、{3} B、{2,5} C、{1,4,6} D、{2,3,5}

查看答案和解析>>

科目:高中数学 来源:2016届山东省高三上学期开学考试文科数学试卷(解析版) 题型:解答题

(本小题满分12分)

已知函数f(x)=2x3+ax2+bx+3在x=-1和x=2处取得极值.

(Ⅰ)求f(x)的表达式和极值;

(Ⅱ)若f(x)在区间[m,m+4]上是单调函数,试求m的取值范围.

查看答案和解析>>

科目:高中数学 来源:2016届宁夏银川市高三上学期统练二理科数学试卷(解析版) 题型:解答题

(本题满分12分) 已知等差数列中,

(1)求数列的通项公式;

(2)令,证明:

查看答案和解析>>

科目:高中数学 来源:2016届黑龙江省高三第一段考文科数学试卷(解析版) 题型:选择题

角α的终边过点,则等于( )

A. B. C. D.

查看答案和解析>>

同步练习册答案