精英家教网 > 高中数学 > 题目详情

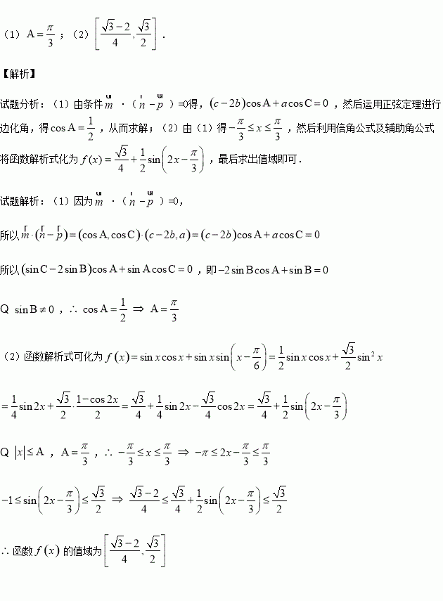
设△ABC的三个内角A,B,C所对的边长分别为a,b,c.平面向量= (cosA,cosC),=(c,a),=(2b,0),且·(-)=0

(1)求角A的大小;

(2)当|x|≤A时,求函数f(x)=sinxcosx+sinxsin(x-)的值域.

练习册系列答案
相关习题

科目:高中数学 来源:2015-2016学年山东省高一上学期期中考试数试卷(解析版) 题型:选择题

设集合,则( )

A. B. C. D.

查看答案和解析>>

科目:高中数学 来源:2015-2016学年陕西省西安市高一上学期期中考试数学试卷(解析版) 题型:选择题

,用二分法求方程内近似解的过程中得,则方程的根落在区间( )

A、(1,1.25) B、(1.25,1.5) C、(1.5,2) D、不能确定

查看答案和解析>>

科目:高中数学 来源:2015-2016学年陕西省西安市高二上学期期中考试文科数学试卷(解析版) 题型:选择题

,则( )

A. B. C. D.

查看答案和解析>>

科目:高中数学 来源:2016届四川省成都市高三11月段测三文科数学试卷(解析版) 题型:解答题

已知数列{an}的前n项和为Sn,若Sn=2an+n,且bn=n(1- an)

(1)求证:{an-1}为等比数列;

(2)求数列{bn}的前n项和Tn.

查看答案和解析>>

科目:高中数学 来源:2016届江西省高三上学期第三次考试文科数学试卷(解析版) 题型:解答题

四棱锥A-BCDE的正视图和俯视图如下,其中正视图是等边三角形,俯视图是直角梯形.

(Ⅰ)若F为AC的中点,当点M在棱AD上移动,是否总有BF丄CM,请说明理由.

(Ⅱ)求三棱锥的高.

查看答案和解析>>

科目:高中数学 来源:2016届江西省高三上学期第三次考试理科数学试卷(解析版) 题型:填空题

将函数图象上每一点的横坐标缩短为原来的一半,纵坐标不变,再向右平移个单位长度得到的图象,则

查看答案和解析>>

科目:高中数学 来源:2015-2016学年江苏省高一上学期期中数学试卷(解析版) 题型:填空题

已知关于x的的两个实数根是α,β,且有1<α<2<β<3,则实数a的取值范围是

查看答案和解析>>

科目:高中数学 来源:2015-2016学年黑龙江省高二上学期期中数学试卷(解析版) 题型:填空题

以点(2,-1)为圆心且与直线x+y=6相切的圆的方程是______________.

查看答案和解析>>

同步练习册答案