精英家教网 > 高中数学 > 题目详情

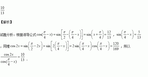
已知,则__________.

练习册系列答案
相关习题

科目:高中数学 来源:2015-2016学年广西河池市高一下月考一数学试卷(解析版) 题型:填空题

记实数中的最大数为,最小数为,则

查看答案和解析>>

科目:高中数学 来源:2017届河南省天一大联考高三上学期段测一数学(理)试卷(解析版) 题型:解答题

已知圆的极坐标方程为,直线的参数方程为为参数).若直线与圆相交于不同的两点.

(Ⅰ)写出圆的直角坐标方程,并求圆心的坐标与半径;

(Ⅱ)若弦长,求直线的斜率.

查看答案和解析>>

科目:高中数学 来源:2017届河南省天一大联考高三上学期段测一数学(理)试卷(解析版) 题型:选择题

已知函数在平面直角坐标系中的部分图象如图所示,若,则( )

A. B. C. D.

查看答案和解析>>

科目:高中数学 来源:2017届河北武邑中学高三上学期周考8.21数学(文)试卷(解析版) 题型:解答题

已知函数(其中)的最小正周期为.

(1)求的值;

(2)设,求的值.

查看答案和解析>>

科目:高中数学 来源:2017届河北武邑中学高三上学期周考8.21数学(文)试卷(解析版) 题型:选择题

,则等于( )

A. B. C. D.

查看答案和解析>>

科目:高中数学 来源:2017届河北武邑中学高三上学期周考8.21数学(理)试卷(解析版) 题型:解答题

已知,且,求的值及角.

查看答案和解析>>

科目:高中数学 来源:2017届河北武邑中学高三上学期周考8.21数学(理)试卷(解析版) 题型:选择题

已知,则( )

A. B. C. D.

查看答案和解析>>

科目:高中数学 来源:2017届重庆第八中学高三上学期第一次月考数学(文)试卷(解析版) 题型:选择题

已知的内角所对应的边分别为,且面积为6,周长为12,,则边为( )

A. B. C. D.

查看答案和解析>>

同步练习册答案