精英家教网 > 高中数学 > 题目详情

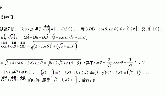
在平面直角坐标系中,为原点,, 动点满足,则的取值范围是( )

A. B.

C. D.

练习册系列答案
相关习题

科目:高中数学 来源:2016-2017学年河北定州中学高二上期7.8周练数学试卷(解析版) 题型:填空题

若直线过点(2,1),则3a+b的最小值为

查看答案和解析>>

科目:高中数学 来源:2017届河南新乡一中高三上学期第一次周练数学(理)试卷(解析版) 题型:填空题

若函数f(x)=在定义域上为奇函数,则实数k=________.

查看答案和解析>>

科目:高中数学 来源:2017届河北沧州一中高三上学期第一次月考数学(文)试卷(解析版) 题型:解答题

已知函数.

(1)求函数的单调递增区间;

(2)证明:当时,.

查看答案和解析>>

科目:高中数学 来源:2017届河北沧州一中高三上学期第一次月考数学(文)试卷(解析版) 题型:填空题

已知曲线在点处的切线与曲线相切, 则的值为

查看答案和解析>>

科目:高中数学 来源:2017届河北沧州一中高三上学期第一次月考数学(文)试卷(解析版) 题型:选择题

函数的定义域为( )

A. B.

C. D.

查看答案和解析>>

科目:高中数学 来源:2017届贵州遵义市高三第一次联考数学(文)试卷(解析版) 题型:解答题

选修4-1:几何证明选讲

如图,已知:是以为直径的半圆上一点,于点,直线与过点的切线相交于点中点,连接于点.

(1)求证:的切线;

(2)若的半径为,求.

查看答案和解析>>

科目:高中数学 来源:2017届贵州遵义市高三第一次联考数学(文)试卷(解析版) 题型:选择题

《九章算术》之后,人们学会了用等差数列的知识来解决问题,《张丘建算经》卷上第题为: “今有女善织,日益功疾(注:从第天开始,每天比前一天多织相同量的布),第一天织5尺布,现一月(按天计)共织尺布”,则从第天起每天比前一天多织( )尺布.

A. B. C. D.

查看答案和解析>>

科目:高中数学 来源:2016届山西太原市高三二模考试数学(文)试卷(解析版) 题型:选择题

已知函数,且关于的方程有6个不同的实数解,若最小的实数解为-1,则的值为( )

A.-2 B.-1 C.0 D.1

查看答案和解析>>

同步练习册答案