精英家教网 > 高中数学 > 题目详情
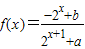
已知定义域为R的函数是奇函数,求a、b的值.
【答案】分析:因为函数是奇函数,满足f(-x)=-f(x),把x=0,和x=1代入,即可得到关于a,b的两个等式,解方程组求出a,b的值.
解答:解:∵定义域为R的函数是奇函数,


化简,得
解得,
∴a的值是2,b的值是1.
点评:本题主要考查了奇函数的性质,以及应用性质求参数的值,属于函数性质的应用.
练习册系列答案
相关习题

科目:高中数学 来源: 题型:

(2010•石家庄二模)已知定义域为R的函数f(x)在(1,+∞)上为减函数,且函数y=f(x+1)为偶函数,则(  )

查看答案和解析>>

科目:高中数学 来源: 题型:

已知定义域为R的函数f(x)满足f(x)f(x+2)=5,若f(2)=3,则f(2012)=
5
3
5
3

查看答案和解析>>

科目:高中数学 来源: 题型:

已知定义域为R的函数f(x)在(4,+∞)上为减函数,且函数y=f(x)的对称轴为x=4,则(  )

查看答案和解析>>

科目:高中数学 来源: 题型:

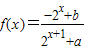
已知定义域为R的函数f(x)=
-2x+a2x+1
是奇函数
(1)求a值;
(2)判断并证明该函数在定义域R上的单调性;
(3)若对任意的t∈R,不等式f(t2-2t)+f(2t2-k)<0恒成立,求实数k的取值范围;
(4)设关于x的函数F(x)=f(4x-b)+f(-2x+1)有零点,求实数b的取值范围.

查看答案和解析>>

科目:高中数学 来源: 题型:

已知定义域为R的函数f(x)满足f(4-x)=-f(x),当x<2时,f(x)单调递减,如果x1+x2>4且(x1-2)(x2-2)<0,则f(x1)+f(x2)的值(  )

查看答案和解析>>

同步练习册答案