精英家教网 > 高中数学 > 题目详情

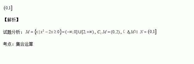
已知集合,,则= .

练习册系列答案
相关习题

科目:高中数学 来源:2014-2015学年上海市闵行区高三下学期质量调研考试(二模)理科数学试卷(解析版) 题型:填空题

双曲线的两条渐近线的夹角的弧度数为 .

查看答案和解析>>

科目:高中数学 来源:2014-2015学年山东省文登市高三第二次模拟考试理科数学试卷(解析版) 题型:选择题

一个算法的程序框图如图所示,该程序输出的结果为

A. B. C. D.

查看答案和解析>>

科目:高中数学 来源:2014-2015学年江苏高考南通密卷三数学试卷(解析版) 题型:填空题

在四边形ABCD中,,则四边形ABCD的面积是 .

查看答案和解析>>

科目:高中数学 来源:2014-2015学年江苏高考南通密卷三数学试卷(解析版) 题型:填空题

函数的部分图像如图所示,则的值为 .

查看答案和解析>>

科目:高中数学 来源:2014-2015学年江苏高考南通密卷二数学试卷(解析版) 题型:解答题

(选修4-2:矩阵与变换)

已知,求矩阵

查看答案和解析>>

科目:高中数学 来源:2014-2015学年江苏高考南通密卷二数学试卷(解析版) 题型:解答题

(本小题满分14分)在中,

(1)求的值;

(2)若,求的面积.

查看答案和解析>>

科目:高中数学 来源:2014-2015学年广东省深圳市高三第二次调研考试文科数学试卷(解析版) 题型:解答题

(本小题满分14分)已知数列的前项和为,且满足).

(1)求的值;

(2)求数列的通项公式;

(3)是否存在整数对,使得等式成立?若存在,请求出所有满足条件的;若不存在,请说明理由.

查看答案和解析>>

科目:高中数学 来源:2014-2015学年广东省惠州市高三4月模拟文科数学试卷(解析版) 题型:解答题

(本小题满分14分)已知椭圆的中心在原点,焦点在轴上,离心率为,且经过点. 直线交椭圆于不同的两点.

(1)求椭圆的方程;

(2)求的取值范围;

(3)若直线不过点,求证:直线轴围成一个等腰三角形.

查看答案和解析>>

同步练习册答案