精英家教网 > 高中数学 > 题目详情
已知在平面直角坐标系中的一个椭圆,它的中心在原点,左焦点为,且过,设点.
(1)求该椭圆的标准方程;
(2)若是椭圆上的动点,求线段中点的轨迹方程;
解:(1) 由已知得椭圆的长半轴a=2, 半焦距c=,则短半轴b=1.,
∴椭圆的标准方程为
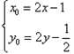
(2)设线段PA的中点为M(x,y) ,点P的坐标是(x0,y0),
,得
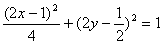
由于点P在椭圆上,得,
∴线段PA中点M的轨迹方程是
练习册系列答案
相关习题

科目:高中数学 来源: 题型:

选修4-4:坐标系与参数方程
已知在平面直角坐标系xOy内,点P(x,y)在曲线C:
x=1+cosθ
y=sinθ
为参数,θ∈R)上运动.以Ox为极轴建立极坐标系,直线l的极坐标方程为ρcos(θ+
π
4
)=0

(Ⅰ)写出曲线C的标准方程和直线l的直角坐标方程;
(Ⅱ)若直线l与曲线C相交于A、B两点,点M在曲线C上移动,试求△ABM面积的最大值,并求此时M点的坐标.

查看答案和解析>>

科目:高中数学 来源: 题型:

已知在平面直角坐标系中的一个椭圆,它的中心在原点,左焦点为F(-
3
,0)
,且过点D(2,0).
(1)求该椭圆的标准方程;
(2)设点A(1,
1
2
)
,若P是椭圆上的动点,求线段PA的中点M的轨迹方程.

查看答案和解析>>

科目:高中数学 来源: 题型:

(坐标系与参数方程选做题)已知在平面直角坐标系xoy中,圆C的参数方程为
x=
3
+3cosθ
y=1+3sinθ
,(θ为参数),以ox为极轴建立极坐标系,直线l的极坐标方程为ρcos(θ+
π
6
)
=0,则圆C截直线l所得的弦长为
4
2
4
2

查看答案和解析>>

科目:高中数学 来源: 题型:

已知在平面直角坐标系中,O(0,0),A(1,-2),B(1,1),C(2,-1),动点M(x,y)满足条件
-2≤
OM
OA
≤2
1≤
OM
OB
≤2
,则z=
OM
OC
的最大值为(  )
A、-1B、0C、3D、4

查看答案和解析>>

科目:高中数学 来源: 题型:

已知在平面直角坐标系xOy中的一个椭圆,它的中心在原点,左焦点为F(-
3
,0)
,右顶点为D(2,0),设点A(1,
1
2
)

(Ⅰ)求该椭圆的标准方程;
(Ⅱ)若P是椭圆上的动点,求线段PA中点M的轨迹方程;
(Ⅲ)是否存在直线l,满足l过原点O并且交椭圆于点B、C,使得△ABC面积为1?如果存在,写出l的方程;如果不存在,请说明理由.

查看答案和解析>>

同步练习册答案