精英家教网 > 高中数学 > 题目详情
如图,四棱锥P﹣ABCD的底面是直角梯形,AB∥CD,AB⊥AD,△PAB和△PAD是两个边长为2的正三角形,DC=4,O为BD的中点,E为PA的中点.
(Ⅰ)求证:PO⊥平面ABCD;
(Ⅱ)求证:OE∥平面PDC;
(Ⅲ)求直线CB与平面PDC所成角的正弦值.
解:(Ⅰ)证明:设F为DC的中点,连接BF,则DF=AB.
∵AB⊥AD,AB=AD,AB∥DC,
∴四边形ABFD为正方形.
∵O为BD的中点,
∴O为AF,BD的交点,
∵PD=PB=2,∴PO⊥BD, 
=,∴=
在三角形PAO中,PO2+AO2=PA2=4,
∴PO⊥AO,
∵AO∩BD=O,∴PO⊥平面ABCD.
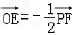
(Ⅱ)由(Ⅰ)知PO⊥平面ABCD,
又AB⊥AD,所以过O分别做AD,AB的平行线,以它们做x,y轴,以OP为z轴建立如图所示的空间直角坐标系,如图所示:
由已知得:A(﹣1,﹣1,0),B(﹣1,1,0),D(1,﹣1,0)F(1,1,0),C(1,3,0),



∴OE∥PF,
∵OE平面PDC,PF平面PDC,
∴OE∥平面PDC.
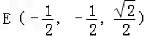
(Ⅲ) 设平面PDC的法向量为,直线CB与平面PDC所成角θ,
,即
解得
令z1=1,则平面PDC的一个法向量为

∴直线CB与平面PDC所成角的正弦值为
练习册系列答案
相关习题

科目:高中数学 来源: 题型:

如图,四棱锥P-ABCD中,PA⊥底面ABCD,AB⊥AD,AC⊥CD,∠ABC=60°,PA=AB=BC,
E是PC的中点.求证:
(Ⅰ)CD⊥AE;
(Ⅱ)PD⊥平面ABE.

查看答案和解析>>

科目:高中数学 来源: 题型:

如图,四棱锥P-ABCD中,底面ABCD是直角梯形,AB∥CD,∠DAB=60°,AB=AD=2CD=2,侧面PAD⊥底面ABCD,且△PAD为等腰直角三角形,∠APD=90°,M为AP的中点.
(1)求证:AD⊥PB;
(2)求三棱锥P-MBD的体积.

查看答案和解析>>

科目:高中数学 来源: 题型:

如图,四棱锥P-ABCD的底面ABCD是矩形,AB=2,BC=
2
,且侧面PAB是正三角形,平面PAB⊥平面ABCD.
(1)求证:PD⊥AC;
(2)在棱PA上是否存在一点E,使得二面角E-BD-A的大小为45°,若存在,试求
AE
AP
的值,若不存在,请说明理由.

查看答案和解析>>

科目:高中数学 来源: 题型:

如图,四棱锥P-ABCD中,底面ABCD为矩形,PA⊥底面ABCD,且PA=AB=1,AD=
3
,点F是PB中点.
(Ⅰ)若E为BC中点,证明:EF∥平面PAC;
(Ⅱ)若E是BC边上任一点,证明:PE⊥AF;
(Ⅲ)若BE=
3
3
,求直线PA与平面PDE所成角的正弦值.

查看答案和解析>>

科目:高中数学 来源: 题型:

如图,四棱锥P-ABCD,PA⊥平面ABCD,ABCD是直角梯形,DA⊥AB,CB⊥AB,PA=2AD=BC=2,AB=2
2
,设PC与AD的夹角为θ.
(1)求点A到平面PBD的距离;
(2)求θ的大小;当平面ABCD内有一个动点Q始终满足PQ与AD的夹角为θ,求动点Q的轨迹方程.

查看答案和解析>>

同步练习册答案