精英家教网 > 高中数学 > 题目详情

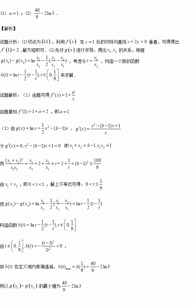
已知函数,在处的切线与直线垂直,函数

(1)求实数的值;

(2)设是函数的两个极值点,若, 求的最小值.

练习册系列答案
相关习题

科目:高中数学 来源:2016届湖北省等高三9月联考理科数学试卷(解析版) 题型:选择题

已知角的顶点与原点重合,始边与轴非负半轴重合,终边在直线上,则

的值为

A. B. C. D.

查看答案和解析>>

科目:高中数学 来源:2016届福建省四地六校高三上学期10月联考理科数学试卷(解析版) 题型:解答题

(本题满分12分)已知二次函数满足

(1)求二次函数的解析式.

(2)求函数的单调增区间和值域 .

查看答案和解析>>

科目:高中数学 来源:2016届辽宁省五校协作体高三上学期期初考试文科数学试卷(解析版) 题型:解答题

(本小题满分12分)已知函数为自然对数的底数).

(1)求函数的单调区间;

(2)设函数,存在使得成立,求实数的取值范围.

查看答案和解析>>

科目:高中数学 来源:2016届辽宁省五校协作体高三上学期期初考试理科数学试卷(解析版) 题型:填空题

已知抛物线C:的焦点为F,过点F倾斜角为的直线与抛物线C在第一、四象限分别交于A、B两点,则的值等于

查看答案和解析>>

科目:高中数学 来源:2016届黑龙江省高三12月月考理科数学试卷(解析版) 题型:选择题

用数学归纳法证明不等式“(n>2)”过程中,由时,不等式的左边( )

A.增加了一项

B.增加了两项

C.增加了两项,又减少了一项

D.增加了一项,又减少了一项

查看答案和解析>>

科目:高中数学 来源:2016届河南省郑州市高三上学期联考理科数学试卷(解析版) 题型:解答题

选修4-1:几何证明选讲

如图,已知C点在⊙O直径的延长线上,CA切⊙O于A点,DC是∠ACB的平分线,交AE于F点,交AB于D点.

(Ⅰ)求∠ADF的度数;

(Ⅱ)若AB=AC,求AC:BC.

查看答案和解析>>

科目:高中数学 来源:2015-2016学年浙江省温州市十校联合体高一上学期期中考试数学试卷(解析版) 题型:选择题

对于函数定义域中任意的有如下结论

时,上述结论中正确的序号是

A.①③ B.②③ C.②④ D.②③④

查看答案和解析>>

科目:高中数学 来源:2016上海复旦大学附中届高三上期中文科数学试卷(解析版) 题型:填空题

已知圆锥的母线长为,侧面积为,则此圆锥的体积为________

查看答案和解析>>

同步练习册答案