精英家教网 > 高中数学 > 题目详情

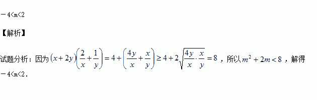
已知x>0,y>0,且=1,若x+2y>m2+2m恒成立,则实数m的取值范围是

练习册系列答案
相关习题

科目:高中数学 来源:2015-2016学年辽宁省沈阳市高一上第一次月考数学试卷(解析版) 题型:选择题

(2014•海淀区校级模拟)集合,集合则P与Q的关系是( )

A.P=Q B.P?Q C.P?Q D.P∩Q=ϕ

查看答案和解析>>

科目:高中数学 来源:2015-2016学年河南省高二上12月月考文科数学试卷(解析版) 题型:解答题

(2013秋•赣州期末)已知命题p:“存在”,命题q:“曲线表示焦点在x轴上的椭圆”,命题s:“曲线表示双曲线”

(1)若“p且q”是真命题,求m的取值范围;

(2)若q是s的必要不充分条件,求t的取值范围.

查看答案和解析>>

科目:高中数学 来源:2015-2016学年山东省乐陵市高一上学期期中考试数学试卷(解析版) 题型:填空题

若函数的定义域为,则的定义域为 ____________.

查看答案和解析>>

科目:高中数学 来源:2015-2016学年江西省南昌市高一10月月考数学试卷(解析版) 题型:选择题

若函数在区间 上是减函数,则实数的取值范围 ( )

A. B.a ≥-3 C.a ≤ 5 D.a ≥ 3

查看答案和解析>>

科目:高中数学 来源:2015-2016学年河南省英文学校高二上学期期中考试数学试卷(解析版) 题型:选择题

在△ABC中,角A,B,C所对的边分别为a,b,c,若acos A=bsin B,则sin Acos A+cos2B等于( ).

A.- B. C.-1 D.1

查看答案和解析>>

科目:高中数学 来源:2016届四川省成都市高三11月段测三文科数学试卷(解析版) 题型:解答题

已知数列{an}的前n项和为Sn,若Sn=2an+n,且bn=n(1- an)

(1)求证:{an-1}为等比数列;

(2)求数列{bn}的前n项和Tn.

查看答案和解析>>

科目:高中数学 来源:2016届江西省高三上学期第三次考试理科数学试卷(解析版) 题型:解答题

已知数列满足:

(Ⅰ)求数列的通项公式;

(Ⅱ)若,求数列{}的前n项和

查看答案和解析>>

科目:高中数学 来源:2015-2016学年安徽师大附中高二上学期期中理科数学试卷(解析版) 题型:填空题

与直线x-y-4=0和圆x2+y2+2x-2y=0都相切的半径最小的圆的方程是___________.

查看答案和解析>>

同步练习册答案