精英家教网 > 高中数学 > 题目详情

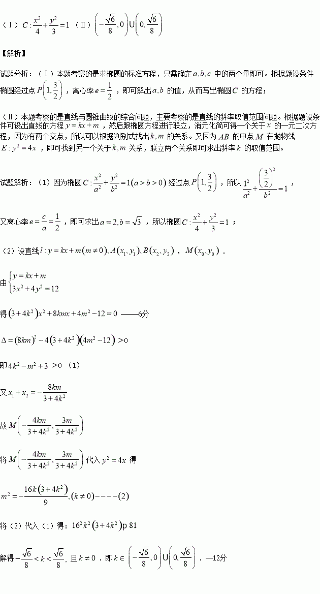
(本小题满分12分).已知椭圆经过点,离心率

(Ⅰ)求椭圆的方程;

(Ⅱ)不过原点的直线与椭圆交于两点,若的中点在抛物线上,求直线的斜率的取值范围.

练习册系列答案
相关习题

科目:高中数学 来源:2015-2016学年广东省普宁市高二上期中理科数学试卷(解析版) 题型:解答题

(本小题满分14分)

设函数

(1)若函数在区间(-2,0)内恰有两个零点,求a的取值范围;

(2)当a=1时,求函数在区间[t,t+3]上的最大值.

查看答案和解析>>

科目:高中数学 来源:2016届辽宁省抚顺市高三上学期第一次模拟文科数学试卷(解析版) 题型:填空题

已知向量__________.

查看答案和解析>>

科目:高中数学 来源:2016届黑龙江省牡丹江市高三上学期期中理科数学试卷(解析版) 题型:选择题

下列四个函数中,在区间上是增函数的是( )

A. B. C. D.

查看答案和解析>>

科目:高中数学 来源:2016届福建省高三上学期期中理科数学试卷(解析版) 题型:解答题

(本小题12分)已知向量,函数

(Ⅰ)求函数的单调递增区间;

(Ⅱ)在中,内角的对边分别为,且,若对任意满足条件的,不等式恒成立,求实数的取值范围.

查看答案和解析>>

科目:高中数学 来源:2015-2016学年江西南昌二中高二上学期期中文科数学试卷(解析版) 题型:选择题

直线的倾斜角为

A. B. C. D.

查看答案和解析>>

科目:高中数学 来源:2015-2016学年吉林省高一上学期期中数学试卷(解析版) 题型:填空题

已知函数,则函数的图象与轴有 个交点.

查看答案和解析>>

科目:高中数学 来源:2015-2016学年吉林实验中学高二上学期期中理科数学试卷(解析版) 题型:选择题

两条直线互相垂直,则的值是

(A) (B)1 (C) (D)

查看答案和解析>>

科目:高中数学 来源:2015-2016学年甘肃省嘉峪关市高二上学期期中考试文科数学试卷(解析版) 题型:解答题

(本小题满分12分)等比数列的前项和为,已知成等差数列.

(1)求数列的公比;

(2)若,问是数列的前多少项和.

查看答案和解析>>

同步练习册答案