精英家教网 > 高中数学 > 题目详情
已知双曲线C的渐近线为且过点M(1,).
(1)求双曲线C的方程;
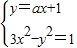
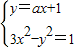
(2)若直线y=ax+1与双曲线C相交于A,B两点,O为坐标原点,若OA与OB垂直,求a的值.
【答案】分析:(1)由题意可知:双曲线的焦点在x轴上,可设方程为,进而得到,解出即可;
(2)设A(x1,y1),B(x2,y2),联立,消去y可化为关于x的一元二次方程,可得△>0及其根与系数的关系;由,可得,代入解出即可.
解答:解:(1)由题意可知:双曲线的焦点在x轴上,可设方程为
,解得
∴双曲线C的方程为3x2-y2=1.
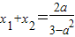
(2)设A(x1,y1),B(x2,y2),联立,化为(3-a2)x2-2ax-2=0,(3-a2≠0).
∵直线y=ax+1与双曲线C相交于A,B两点,∴△=4a2+8(3-a2)>0,化为a2<6.
.(*)
,∴
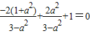
∴x1x2+y1y2=0,又y1=ax1+1,y2=ax2+1,
∴(1+a2)x1x2+a(x1+x2)+1=0,
把(*)代入上式得
化为a2=1.满足△>0.
∴a=±1.
点评:本题中考查了双曲线的标准方程及其性质、直线与双曲线相交问题转化为关于一个未知数的一元二次二次方程点到△>0及其根与系数的关系、?等基础知识与基本技能,考查了推理能力、计算能力.
练习册系列答案
相关习题

科目:高中数学 来源: 题型:

已知双曲线C的渐近线为y=±
3
x
且过点M(1,
2
).
(1)求双曲线C的方程;
(2)若直线y=ax+1与双曲线C相交于A,B两点,O为坐标原点,若OA与OB垂直,求a的值.

查看答案和解析>>

科目:高中数学 来源: 题型:

已知双曲线C的渐近线为y=±
3
3
x且过点M(
6
,1).
(1)求双曲线C的方程;
(2)若直线l:y=kx+m,(m≠0)与双曲线C相交于A,B两点,D(0,-1)且有|AD|=|BD|,试求m的取值范围.

查看答案和解析>>

科目:高中数学 来源: 题型:

已知双曲线C的渐近线方程是y=±
2
3
x,且经过点M(
9
2
,-1),则双曲线C的方程是
x2
18
-
y2
8
=1
x2
18
-
y2
8
=1

查看答案和解析>>

科目:高中数学 来源: 题型:

已知双曲线C的渐近线方程为y=±
3
x
,右焦点F(c,0)到渐近线的距离为
3

(1)求双曲线C的方程;
(2)过F作斜率为k的直线l交双曲线于A、B两点,线段AB的中垂线交x轴于D,求证:
|AB|
|FD|
为定值.

查看答案和解析>>

科目:高中数学 来源: 题型:

(2009•宁波模拟)已知双曲线c的渐近线方程为:
3
y=0
,且双曲线c的右焦点在圆x2+y2-8x-2y+16=0上,则双曲线c的标准方程为
x2
12
-
y2
4
=1
x2
12
-
y2
4
=1

查看答案和解析>>

同步练习册答案