精英家教网 > 高中数学 > 题目详情

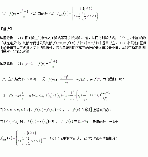
(本题满分12分)已知函数的图象经过点,.

(1)求函数的解析式;

(2)写出函数的定义域,并判断其奇偶性;

(3)当t>时,求函数在区间上的最小值

练习册系列答案
相关习题

科目:高中数学 来源:2014-2015学年山西省高二上学期第一次月考数学试卷(解析版) 题型:选择题

如图,在长方体中,,则与平面所成角的正弦值为( )

A. B. C. D.

查看答案和解析>>

科目:高中数学 来源:2016届西藏日喀则一中高三10月检测文科数学试卷(解析版) 题型:选择题

满足约束条件,则的最小值是( )

A. B. C. D.

查看答案和解析>>

科目:高中数学 来源:2015-2016学年浙江省高一10月月考数学试卷(解析版) 题型:选择题

已知函数的定义域是,则的定义域是( )

A. B. C. D.

查看答案和解析>>

科目:高中数学 来源:2015-2016学年江西新余一中高一上第一次段考数学试卷(解析版) 题型:解答题

(本题10分)设全集为R,集合A={x|3≤x<6},B={x|2<x<9}.

(1)分别求A∩B,(∁RB)∪A;[

(2)已知C={x|a<x<a+1},若C⊆B,求实数a的取值范围构成的集合

查看答案和解析>>

科目:高中数学 来源:2015-2016学年湖北宜昌市高一上期中考试数学试卷(解析版) 题型:解答题

(本题满分12分)已知集合

(1)若,求的取值范围;

(2)当取使得不等式恒成立的的最小值时,求

查看答案和解析>>

科目:高中数学 来源:2015-2016学年湖北宜昌一中高二上学期期中理科数学试卷(解析版) 题型:填空题

设变量x,y满足约束条件,则目标函数的取值范围是

查看答案和解析>>

科目:高中数学 来源:2015-2016学年广西桂林中学高二上期中考试理科数学试卷(解析版) 题型:选择题

下列说法正确的是( )

A.命题“?x∈R,ex>0”的否定是“?x∈R,ex>0”

B.命题“已知x、y∈R,若x+y≠3,则x≠2或y≠1”是真命题

C.“x2+2x≥ax在x∈[1,2]上恒成立”?“(x2+2x)min≥(ax)max在x∈[1,2]上恒成立”

D.命题“若a=-1,则函数f(x)=ax2+2x-1只有一个零点”的逆命题为真命题

查看答案和解析>>

科目:高中数学 来源:2015-2016学年湖北武汉二中高二上学期期中文科数学试卷(解析版) 题型:解答题

(本小题满分13分)如图,椭圆的离心率为轴被曲线截得的线段长等于的短轴长.轴的交点为M,过坐标原点O的直线相交于点A、B.

(1)求的方程;

(2)求证:MA⊥MB.

查看答案和解析>>

同步练习册答案