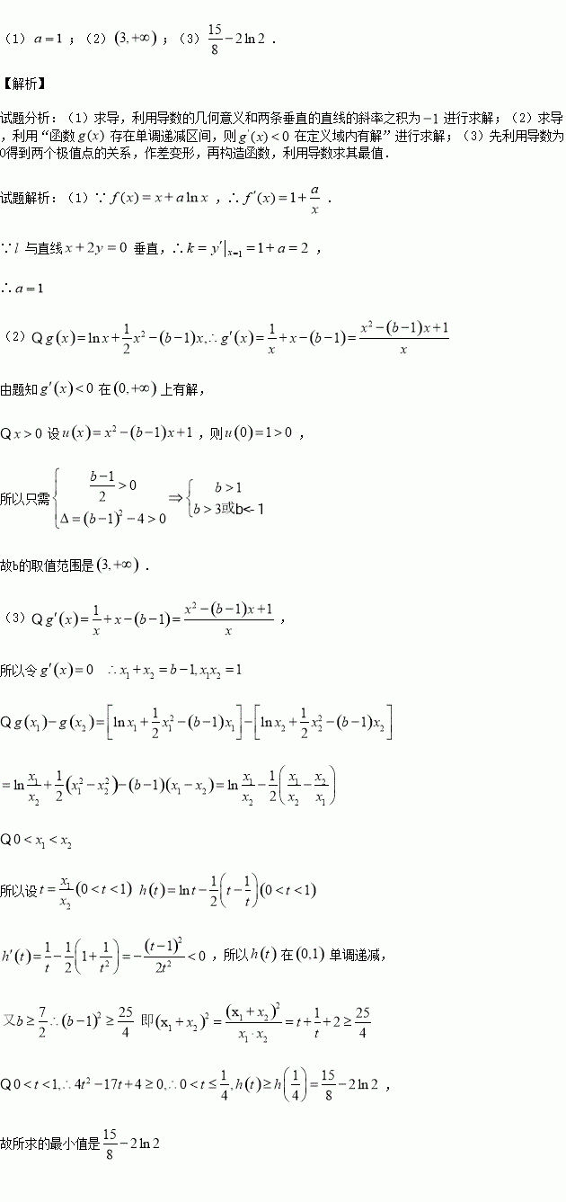
已知函数
在
处的切线
与直线
垂直,函数
.
(1)求实数
的值;
(2)若函数
存在单调递减区间,求实数b的取值范围;
(3)设
是函数
的两个极值点,若
,求
的最小值.
科目:高中数学 来源:2015-2016年湖北武汉华中师大一附高二上期中文科数学卷(解析版) 题型:选择题
以椭圆
的焦点为顶点、顶点为焦点的的双曲线方程是( )
A.
B.
C.
D.![]()
查看答案和解析>>
科目:高中数学 来源:2015-2016学年湖北武汉华中师大一附高二上期中理数学卷(解析版) 题型:解答题
已知M为抛物线
上一动点,
为其对称轴上一点,直线MA与抛物线的另一个交点为N.当A为抛物线的焦点且直线MA与其对称轴垂直时,△OMN的面积为
.
![]()
(Ⅰ)求抛物线的标准方程;
(Ⅱ)记
,若t的值与M点位置无关, 则称此时的点A为“稳定点”,试求出所有“稳定点”,若没有,请说明理由.
查看答案和解析>>
科目:高中数学 来源:2016届湖南省株洲市高三上学期期中文科数学试卷(解析版) 题型:填空题
有一个底面半径为1、高为2的圆柱,点
为这个圆柱底面圆的圆心,在这个圆柱内随机取一点
,则点
到点
的距离大于1的概率为 .
查看答案和解析>>
科目:高中数学 来源:2016届湖南省株洲市高三上学期期中理科数学试卷(解析版) 题型:选择题
“0<a<4”是“命题‘?x∈R,不等式x2+ax+a≥0成立’为真命题”的 ( )
A、充分不必要条件 B、必要不充分条件
C、充要条件 D、既不充分也不必要条件
查看答案和解析>>
科目:高中数学 来源:2016届湖北武汉华中师大一附等高三上第一次联考理数学卷(解析版) 题型:解答题
已知函数
.
(1)若直线
与
的反函数的图象相切,求实数
的值;
(2)设
,且
,
,
,
,试比较
三者的大小,并说明理由.
查看答案和解析>>
科目:高中数学 来源:2015-2016学年山西省太原市高二12月月考数学试卷(解析版) 题型:解答题
设
:实数
满足
,其中
,命题
:实数
满足![]()
(1)若
,且
为真,求实数
的取值范围;
(2)若
是
的必要不充分条件,求实数
的取值范围.
查看答案和解析>>
科目:高中数学 来源:2016届湖南师范大学附中高三上学期月考三文科数学试卷(解析版) 题型:解答题
选修4—4:坐标系与参数方程
极坐标系与直角坐标系
有相同的长度单位,以原点为极点,以
轴正半轴为极轴,曲线
的极坐标方程为
,曲线
的参数方程为
(
为参数,
),射线
,
,
与曲线
交于(不包括极点
)三点
.
(1)求证:
;
(2)当
时,
两点在曲线
上,求
与
的值.
查看答案和解析>>
湖北省互联网违法和不良信息举报平台 | 网上有害信息举报专区 | 电信诈骗举报专区 | 涉历史虚无主义有害信息举报专区 | 涉企侵权举报专区
违法和不良信息举报电话:027-86699610 举报邮箱:58377363@163.com