精英家教网 > 高中数学 > 题目详情
选做题:不等式选讲
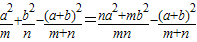
(1)已知实数
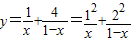
(2)利用(1)的结论,求函数(其中x∈(0,1))的最小值.
【答案】分析:(1)由已知条件,把要证的不等式的左边减去右边通分化简为 ,显然此值大于0,故不等式成立.
(2)把函数解析式化为,利用(1)的结论,可得它大于或等于=9,由此得出结论.
解答:证明:(1)∵m>0 且n>0,
==≥0,…(4分)
所以当且仅当na=mb时等号成立.…(6分)
(2)∵x∈(0,1),∴1-x>0,
  
由(1-x)•1=x•2,可得
故当时,函数可得最小值 9.  …(10分)
点评:本题主要考查用综合法证明不等式,基本不等式的应用,式子的变形是解题的关键,属于中档题.
练习册系列答案
相关习题

科目:高中数学 来源: 题型:

(坐标系与参数方程选做题)在极坐标系中,定点A(2,π),动点B在直线ρsin(θ+
π
4
)=
2
2
上运动,则线段AB的最精英家教网短长度为
 

(不等式选讲选做题)设函数f(x)=|x-1|+|x-2|,则f(x)的最小值为
 

(几何证明选讲选做题) 如图所示,等腰三角形ABC的底边AC长为6,其外接圆的半径长为5,则三角形ABC的面积是
 

查看答案和解析>>

科目:高中数学 来源: 题型:

选做题
A不等式选讲
已知a∈R,若关于x的方程x2+x+|a-
1
4
|+|a|=0
有实根,求a的取值.
B坐标系与参数方程
已知曲线C1、C2的极坐标方程分别为ρcosθ=3,ρ=4cosθ(ρ≥0,0≤θ<
π
2
,求曲线C1、C2交点的极坐标.

查看答案和解析>>

科目:高中数学 来源: 题型:

选做题:不等式选讲
(1)已知实数m>0,n>0,求证:
a2
m
+
b2
n
(a+b)2
m+n

(2)利用(1)的结论,求函数y=
1
x
+
4
1-x
(其中x∈(0,1))的最小值.

查看答案和解析>>

科目:高中数学 来源: 题型:

选做题:不等式选讲.
已知a,b,c是不全相等的正数,求证:
a+b
2
-
ab
a+b+c
3
-
3abc
3
2
,并指出等号成立的条件.

查看答案和解析>>

科目:高中数学 来源: 题型:

(2011•渭南三模)选做题(请考生在以下三个小题中任选一题作答,如果多做,则按所做的第一题评阅记分)
A、(不等式选讲)若关于x的方程x2+4x+|a-1|=0有实根,则实数a的取值范围为
[-3,5]
[-3,5]

B、(几何证明选讲)如图,AD是⊙O的切线,AC是⊙O的弦,过C作AD的垂线,垂足为B,CB与⊙O相交于点E,AE平分∠CAB,且AE=2,则AC=
2
3
2
3
 
C、(坐标系与参数方程)已知直线
x=1-2t
y=
3
+t.
(t为参数)与圆ρ=4cos(θ-
π
3
)
相交于A、B两点,则|AB|=
4
4

查看答案和解析>>

同步练习册答案