精英家教网 > 高中数学 > 题目详情

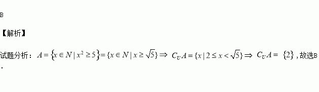
设全集,集合,则( )

A. B. C. D.

练习册系列答案
相关习题

科目:高中数学 来源: 题型:选择题

12.在正项等比数列(an}中,a3.a6+a2•a7=32,则log2a1•log2a8的最大值为(  )
A.8B.6C.4D.2

查看答案和解析>>

科目:高中数学 来源:2017届广东华南师大附中高三综合测试一数学(文)试卷(解析版) 题型:选择题

中,有一个内角为30°,“”是“”的( )条件.

A.充分不必要 B.必要不充分

C.充要 D.既不充分也不必要

查看答案和解析>>

科目:高中数学 来源:2017届广东华南师大附中高三综合测试一数学(理)试卷(解析版) 题型:填空题

函数的定义域为____________.

查看答案和解析>>

科目:高中数学 来源:2017届广东华南师大附中高三综合测试一数学(理)试卷(解析版) 题型:选择题

由曲线,直线轴所围成图形的面积是( )

A. B.4 C. D.6

查看答案和解析>>

科目:高中数学 来源: 题型:选择题

5.已知点P在曲线y=x3-3x2+2x+1上移动,若曲线在点P处的切线的倾斜角为α,则α的取值范围是(  )
A.[0,$\frac{π}{2}$]∪[$\frac{3π}{4}$,π)B.[0,$\frac{π}{2}$)∪($\frac{π}{2}$,$\frac{3π}{4}$)C.[$\frac{π}{4}$,$\frac{π}{2}$]D.[$\frac{3π}{4}$,π)

查看答案和解析>>

科目:高中数学 来源: 题型:解答题

12.已知函数f(x)=$\sqrt{3}$sinx•cosx-m•cos2x的最大值为$\frac{3}{2}$.
(1)求实数m的值和函数f(x)的最小正周期;
(2)锐角△ABC的内角∠A、∠B、∠C所对的边分别为a、b、c满足f(A)=$\frac{\sqrt{3}+1}{2}$,且∠B=$\frac{π}{3}$,b=$\sqrt{6}$,求a的值.

查看答案和解析>>

科目:高中数学 来源: 题型:选择题

9.已知中心在原点的双曲线C的右焦点为F(4,0),离心率等于$\frac{4}{3}$,则C的方程是(  )
A.$\frac{{x}^{2}}{9}$-$\frac{{y}^{2}}{5}$=1B.$\frac{{x}^{2}}{9}$-$\frac{{y}^{2}}{7}$=1C.$\frac{{x}^{2}}{9}$-$\frac{{y}^{2}}{16}$=1D.$\frac{{x}^{2}}{9}$-$\frac{{y}^{2}}{25}$=1

查看答案和解析>>

科目:高中数学 来源: 题型:解答题

10.已知抛物线与y轴交于点A(0,-3),与x轴的两个交点的横坐标为方程x2+2x-3=0的两根,求它的解析式、顶点坐标和对称轴方程.

查看答案和解析>>

同步练习册答案