精英家教网 > 高中数学 > 题目详情
已知函数f(x)=alnx-ax-3(a∈R)。
(Ⅰ)求函数f(x)的单调区间;
(Ⅱ)若函数y= f(x)的图像在点(2,f(2))处的切线的倾斜角为45°,问:m在什么范围取值时,对于任意的t∈[1,2],函数在区间(t,3)上总存在极值?
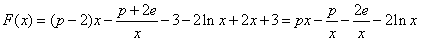
(Ⅲ)当a=2时,设函数h(x)=(p-2)x--3,若在区间[1,e]上至少存在一个x0,使得h(x0)>f(x0)成立,试求实数p的取值范围.
解:(Ι)由知:
当a>0时,函数f(x)的单调增区间是,单调减区间是
当a<0时,函数f(x)的单调增区间是,单调减区间是
当a=0时,函数f(x)=-3是常数函数,无单调区间。
(Ⅱ)由



∵函数g(x)在区间(t,3)上总存在极值,
∴ 函数g′(x)在区间(t,3)上总存在零点,
又∵函数g′(x)是开口向上的二次函数,且g′(0)=-2<0,

,令,则
所以,H(t)在[1,2]上单调递减,所以,
,解得
综上得:
所以当m在内取值时,对于任意的t∈[1,2],函数在区间(t,3)上总存在极值。
(Ⅲ)∵a=2,∴


①当p≤0时,由x∈[1,e]得,从而F(x) <0,
所以,在[1,e]上不存在x0,使得; 
②当p>0时,

在[1,e]上恒成立,
故F(x)在[1,e]上单调递增,

故只要,解得
综上所述,p的取值范围是
练习册系列答案
相关习题

科目:高中数学 来源: 题型:

已知函数f(x)=a-
12x+1

(1)求证:不论a为何实数f(x)总是为增函数;
(2)确定a的值,使f(x)为奇函数;
(3)当f(x)为奇函数时,求f(x)的值域.

查看答案和解析>>

科目:高中数学 来源: 题型:

已知函数f(x)
a-x  ,x≤0
1  ,0<x≤3
(x-5)2-a,x>3
(a>0且a≠1)图象经过点Q(8,6).
(1)求a的值,并在直线坐标系中画出函数f(x)的大致图象;
(2)求函数f(t)-9的零点;
(3)设q(t)=f(t+1)-f(t)(t∈R),求函数q(t)的单调递增区间.

查看答案和解析>>

科目:高中数学 来源: 题型:

已知函数f(x)=a-
1
2x+1
,若f(x)为奇函数,则a=(  )
A、
1
2
B、2
C、
1
3
D、3

查看答案和解析>>

科目:高中数学 来源: 题型:

已知函数f(x)=
a(x-1)x2
,其中a>0.
(I)求函数f(x)的单调区间;
(II)若直线x-y-1=0是曲线y=f(x)的切线,求实数a的值;
(III)设g(x)=xlnx-x2f(x),求g(x)在区间[1,e]上的最小值.(其中e为自然对数的底数)

查看答案和解析>>

科目:高中数学 来源: 题型:

已知函数f(x)=a-
12x-1
,(a∈R)
(1)求f(x)的定义域;
(2)若f(x)为奇函数,求a的值;
(3)考察f(x)在定义域上单调性的情况,并证明你的结论.

查看答案和解析>>

同步练习册答案