精英家教网 > 高中数学 > 题目详情

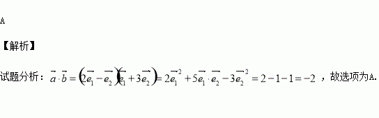
已知单位向量的夹角为,且,若,则( )

A. B.

C. D.

练习册系列答案
相关习题

科目:高中数学 来源:2016-2017学年安徽六安一中高二上文周末检测三数学试卷(解析版) 题型:解答题

已知为常数,)满足,且有唯一解.

(1)求的解析式;

(2)如果数列,且),求证:数列为等差数列.

查看答案和解析>>

科目:高中数学 来源:2016-2017学年安徽六安一中高二上文周末检测三数学试卷(解析版) 题型:选择题

若数列满足:,而数列的前项和数值最大时,的值为( )

A.6 B.7

C.8 D.9

查看答案和解析>>

科目:高中数学 来源:2017届辽宁庄河市高三9月月考数学(文)试卷(解析版) 题型:解答题

中,内角的对边分别为,且,已知.求:

(Ⅰ)的值;

(Ⅱ)的值.

查看答案和解析>>

科目:高中数学 来源:2017届辽宁庄河市高三9月月考数学(文)试卷(解析版) 题型:选择题

将函数的图象向左平移个单位长度,所得图象对应的函数( )

A.在区间上单调递减 B.在区间上单调递增

C.在区间上单调递减 D.在区间上单调递增

查看答案和解析>>

科目:高中数学 来源:2017届辽宁庄河市高三9月月考数学(理)试卷(解析版) 题型:解答题

选修4-5:不等式选讲

设函数

(Ⅰ)若不等式的解集为,求的值;

(Ⅱ)若存在,使,求的取值范围.

查看答案和解析>>

科目:高中数学 来源:2017届辽宁庄河市高三9月月考数学(理)试卷(解析版) 题型:解答题

中,内角的对边分别为,且,已知.求:

(Ⅰ)的值;

(Ⅱ)的值.

查看答案和解析>>

科目:高中数学 来源: 题型:选择题

5.已知向量$\overrightarrow{AB}$与向量$\overrightarrow{a}$=(1,-2)的夹角为π,|$\overrightarrow{AB}$|=2$\sqrt{5}$,点A的坐标为(3,-4).则点B坐标为(  )
A.(1,0)B.(0,1)C.(5,-8)D.(-8,5)

查看答案和解析>>

科目:高中数学 来源: 题型:选择题

6.若x,y满足$\left\{\begin{array}{l}x+y≥0\\ x≥1\\ x-y≥0\end{array}\right.$,则下列不等式恒成立的是(  )
A.y≥-1B.x≥2C.x+2y+2≥0D.2x-y+1≥0

查看答案和解析>>

同步练习册答案