精英家教网 > 高中数学 > 题目详情
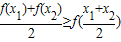
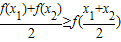
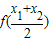
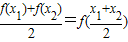
已知f(x)=3x,x1,x2∈R,则有( )
A.
B.
C.
D.以上都不是
【答案】分析:利用函数图象的凹凸性,来比较大小.
解答:解:画出函数y=3x的图象,取两点x1,x2∈R,不妨设x1<x2
在图中标出其中点及其函数值
取出两点(x1,f(x1)),(x2,f(x2))的中点的纵坐标
如图所示

有图象可知
故选B.
点评:此题考查学生对指数函数的图象,及图象的凹凸性的理解与掌握.
练习册系列答案
相关习题

科目:高中数学 来源: 题型:

(1)已知f(x)=2x-3,x∈{0,1,2,3},求f(x)的值域.
(2)已知f(x)=3x+4的值域为{y|-2≤y≤4},求此函数的定义域.

查看答案和解析>>

科目:高中数学 来源: 题型:

已知f(x)=3x,并且f(a)=9,g(x)=ax-4x
(1)求函数g(x)的解析式;
(2)求函数g(x)在[-1,1]上的值域.

查看答案和解析>>

科目:高中数学 来源: 题型:

已知f(x)=3x,求证
(1)f(x)•f(y)=f(x+y);
(2)f(x)÷f(y)=f(x-y)

查看答案和解析>>

科目:高中数学 来源: 题型:

已知f(x)=3x+1,(x∈R),若|f(x)-4|<a的充分条件是|x-1|<b(a,b>0),则a,b之间的关系是
b≤
a
3
b≤
a
3

查看答案和解析>>

科目:高中数学 来源: 题型:

已知f(x)=
3x+2,x<1
x2+ax,x≥1
,若f(f(0))=4a,则a=
 

查看答案和解析>>

同步练习册答案