精英家教网 > 高中数学 > 题目详情

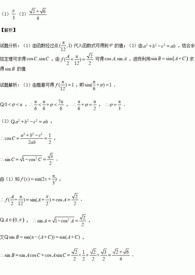
已知函数的图像经过点

(1)求的值;

(2)在中,所对的边分别为,若,且.求

练习册系列答案
相关习题

科目:高中数学 来源:2015-2016学年四川省实验学校高二上学期期中文科数学试卷(解析版) 题型:选择题

已知,则直线通过

A.第一、二、三象限 B.第一、二、四象限

C.第一、三、四象限 D.第二、三、四象限

查看答案和解析>>

科目:高中数学 来源:2016届湖南省长沙市高三第一次月考文科数学试卷(解析版) 题型:选择题

为两个不相等的集合,条件,条件,则的( )

A.充分不必要条件

B.充要条件

C.必要不充分条件

D.既不充分也不必要条件

查看答案和解析>>

科目:高中数学 来源:2015-2016学年甘肃省高一上期中数学试卷(解析版) 题型:解答题

已知函数

(1)当时,求函数上的值域;

(2)是否存在实数,是函数的定义域为,值域为?若存在,求出的值;若不存在,请说明理由.

查看答案和解析>>

科目:高中数学 来源:2015-2016学年安徽省合肥市高一上学期期中数学试卷(解析版) 题型:填空题

已知角的终边经过点,且,则的取值范围是

查看答案和解析>>

科目:高中数学 来源:2015-2016学年广东省清远市实验学校高一上学期期中数学试卷(解析版) 题型:填空题

若函数f(x)=x2+2(a-1)x+2在区间(-∞,4]上是减函数,则实数a的取值范围是

查看答案和解析>>

科目:高中数学 来源:2015-2016学年广东省普宁市华美实验学校高一上学期期中数学试卷(解析版) 题型:选择题

若指数函数f(x)=(a+1)x是R上的减函数,则a的取值范围为( )

A.a<2 B.a>2

C.-1<a<0 D.0<a<1

查看答案和解析>>

科目:高中数学 来源:2015-2016学年湖北省武汉市高二上学期期中考试数学试卷(解析版) 题型:选择题

到直线的距离是( )

A. B. C. D.

查看答案和解析>>

科目:高中数学 来源:2016届江苏省高三上学期周练数学试卷(解析版) 题型:填空题

将函数的图象向左平移个单位后,得到函数的图象,则等于

查看答案和解析>>

同步练习册答案