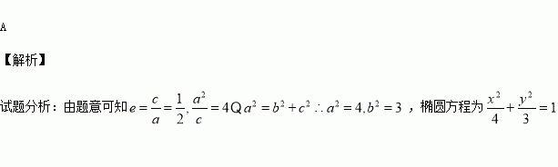
精英家教网 > 高中数学 > 题目详情

中心点在原点,准线方程为,离心率为的椭圆方程是( ).

A. B.

C. D.

练习册系列答案
相关习题

科目:高中数学 来源:2016届宁夏六盘山高中高三上学期第二次月考理科数学试卷(解析版) 题型:解答题

在等差数列中,,其前项和为,等比数列的各项均为正数,,公比为,且

(1)求

(2)证明:

查看答案和解析>>

科目:高中数学 来源:2015-2016学年浙江省高一上学期期中数学试卷(解析版) 题型:解答题

设全集

(1)若,求的取值范围;

(2)若,求的取值范围.

查看答案和解析>>

科目:高中数学 来源:2015-2016学年湖南衡阳八中高二上第二次月考文科数学卷(解析版) 题型:选择题

已知之间的一组数据,已求得关于的线性回归方程为,则的值为( )

0

1

2

3

3

5.5

7

A. B. C. D.

查看答案和解析>>

科目:高中数学 来源:2015-2016学年湖南衡阳八中高二上第二次月考理科数学卷(解析版) 题型:选择题

命题“”的否定是( )

A.

B.

C.

D.

查看答案和解析>>

科目:高中数学 来源:2014-2015学年广东省心学校高一上学期期末数学试卷(解析版) 题型:选择题

若平面向量与向量平行,且,则( ).

A. B. C. D.

查看答案和解析>>

科目:高中数学 来源:2016届四川省成都市高三11月阶段测试理科数学试卷(解析版) 题型:解答题

已知函数的图象在点处的切线方程为

(1)用表示

(2)若函数上的最大值为2,求实数a的取值范围.

查看答案和解析>>

科目:高中数学 来源:2016届甘肃省高三12月月考文科数学试卷(解析版) 题型:解答题

选修4—5:不等式选讲

已知关于的不等式,其解集为

(Ⅰ)求的值;

(Ⅱ)若均为正实数,且满足,求的最小值.

查看答案和解析>>

科目:高中数学 来源:2015-2016学年山东省济宁市兖州区高一上学期期中考试数学试卷(解析版) 题型:解答题

集合A={x|3≤x<10},B={x|2<x<7},C={x|x<a},

(Ⅰ)求A∪B;

(Ⅱ)求(CRA)∩B;

(Ⅲ)若A∩C≠,求a的取值范围.

查看答案和解析>>

同步练习册答案