精英家教网 > 高中数学 > 题目详情

【题目】已知斜率为k(k≠0)的直线 交椭圆 两点。
(1)记直线 的斜率分别为 ,当 时,证明:直线 过定点;
(2)若直线 过点 ,设 的面积比为 ,当 时,求 的取值范围。

【答案】
(1)

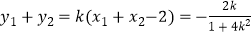
解法1:依题意可设直线 的方程为

代入椭圆方程得:

则有

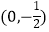
由条件有 ,而,则有n=+ 1/2

从而直线 过定点

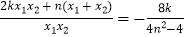
解法2:依题意可设直线 的方程为

代入椭圆方程得:

则有

由条件有 ,得

则直线 的方程为 ,从而直线 过定点


(2)

依题意可设直线 的方程为 ,其中

代入椭圆方程得:

则有

从而有 …………①

…………②

由①②得

,得 。又 ,因 ,故 ,又

从而有 ,得 , 解得


【解析】

练习册系列答案
相关习题

科目:高中数学 来源: 题型:

【题目】已知定义在区间上的函数

(1)判定函数的单调性,并用定义证明;

(2)设方程有四个不相等的实根

①证明:

②在是否存在实数,使得函数在区间单调,且的取值范围为,若存在,求出的取值范围;若不存在,请说明理由.

查看答案和解析>>

科目:高中数学 来源: 题型:

【题目】在△ABC中,角A,B,C的对边分别为a,b,c,且2ccosB=2a+b,若△ABC的面积为S= c,则ab的最小值为

查看答案和解析>>

科目:高中数学 来源: 题型:

【题目】已知函数f(x)=(a﹣bx3)ex ,且函数f(x)的图象在点(1,e)处的切线与直线x﹣(2e+1)y﹣3=0垂直.
(Ⅰ)求a,b;
(Ⅱ)求证:当x∈(0,1)时,f(x)>2.

查看答案和解析>>

科目:高中数学 来源: 题型:

【题目】下列命题正确个数为(

1)若,当时,则上是单调递增函数;

2单调减区间为

3

-3

-2

-1

0

1

2

3

4

3

2

1

-2

-3

-4

上述表格中的函数是奇函数;

4)若上的偶函数,则都在图像上.

A.0B.1C.2D.3

查看答案和解析>>

科目:高中数学 来源: 题型:

【题目】学习雷锋精神前半年内某单位餐厅的固定餐椅经常有损坏,学习雷锋精神时全修好;单位对学习雷锋精神前后各半年内餐椅的损坏情况作了一个大致统计,具体数据如表:

损坏餐椅数

未损坏餐椅数

学习雷锋精神前

50

150

200

学习雷锋精神后

30

170

200

80

320

400

求:学习雷锋精神前后餐椅损坏的百分比分别是多少?并初步判断损毁餐椅数量与学习雷锋精神是否有关?

请说明是否有以上的把握认为损毁餐椅数量与学习雷锋精神

有关?参考公式:

查看答案和解析>>

科目:高中数学 来源: 题型:

【题目】已知函数.

(1)当 时,求函数图象在点处的切线方程;

(2)当时,讨论函数的单调性;

(3)是否存在实数,对任意恒成立?若存在,求出的取值范围;若不存在,说明理由.

查看答案和解析>>

科目:高中数学 来源: 题型:

【题目】,函数.

(1) 若,求曲线处的切线方程;

(2)求函数单调区间

(3) 若有两个零点,求证: .

查看答案和解析>>

科目:高中数学 来源: 题型:

【题目】设全集U=R,集合A={x|1≤x<4},B={x|2a≤x<3-a}.

(1)若a=-2,求B∩A,B∩(UA);(2)A∪B=A,求实数a的取值范围.

查看答案和解析>>

同步练习册答案