精英家教网 > 高中数学 > 题目详情
已知在的展开式中,第6项为常数项,
(1)求n;
(2)求含x2的项的系数;
(3)求展开式中所有的有理项。
解:通项公式为Tr+1=
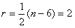
(1)∵第6项为常数项,
∴r=5时,有,解得n=10;
(2)令

∴x2的项的系数为
(3)由题意得,

则10-2r=3k,即r=5-
∵r∈Z,
∴k应为偶数,
∴k=2,0,-2,即r=2,5,8,
所以第3项,第6项与第9项为有理项,它们分别为405x2,-61236,295245x-2
练习册系列答案
相关习题

科目:高中数学 来源: 题型:

已知在的展开式中,第6项为常数项.

(1)求n;

(2)求含x2的项的系数;

(3)求展开式中所有的有理项.

查看答案和解析>>

科目:高中数学 来源:2014届湖北孝感高级中学高二上学期期末考试理科数学试卷(解析版) 题型:解答题

已知在的展开式中,第6项为常数项.

(1)求n;

(2)求展开式中所有的有理项.

 

查看答案和解析>>

科目:高中数学 来源:2013届黑龙江牡丹江一中高二下学期期末考试理科数学试卷(解析版) 题型:解答题

已知在的展开式中,第7项为常数项,

(1)求n的值;

(2)求展开式中所有的有理项.

 

查看答案和解析>>

科目:高中数学 来源:2013届陕西澄城县寺前中学高二下第三次月考理科数学试卷(解析版) 题型:解答题

(本题满分10分)     已知在的展开式中,第4项为常数项

 (1) 求的值;     (2) 求展开式中含项系数.

 

查看答案和解析>>

科目:高中数学 来源:2013届江西省高二下学期期中考试理科数学试卷(解析版) 题型:解答题

已知在的展开式中,第6项为常数项.

   (1)求n;

   (2)求含的项的系数;

  (3)求展开式中所有的有理项.

 

查看答案和解析>>

同步练习册答案