精英家教网 > 高中数学 > 题目详情

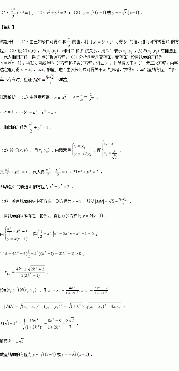
设椭圆的左、右顶点分别为,离心率.过该椭圆上任一点P作PQ⊥x轴,垂足为Q,点C在QP的延长线上,且

(1)求椭圆的方程;

(2)求动点C的轨迹E的方程;

(3)设直线MN过椭圆的右焦点与椭圆相交于M、N两点,且,求直线MN的方程.

练习册系列答案
相关习题

科目:高中数学 来源:2016届浙江省等高三第一次五校联考文科数学试卷(解析版) 题型:解答题

已知命题是方程的两个实根,且不等式对任意恒成立;命题:不等式有解,若命题为真,为假,求实数的取值范围.

查看答案和解析>>

科目:高中数学 来源:2016届宁夏银川一中高三上学期第四次月考理科数学试卷(解析版) 题型:选择题

设双曲线的一条渐近线与抛物线只有一个公共点,则双曲线的离心率为( )

A. B. C. D.

查看答案和解析>>

科目:高中数学 来源:2015-2016学年吉林省高二上期中文科数学试卷(解析版) 题型:选择题

双曲线的左、右焦点分别是,过作倾斜角为的直线交双曲线右支于点,若垂直于轴,则双曲线的离心率为( )

A. B. C. D.

查看答案和解析>>

科目:高中数学 来源:2015-2016学年宁夏石嘴山三中高二上期中文科数学试卷(解析版) 题型:填空题

设命题p:{x|x2-4ax+3a2<0}(a>0),

(1)如果a=1,且p∧q为真时,求实数x的取值范围;

(2)若?p是?q的充分不必要条件时,求实数a的取值范围.

查看答案和解析>>

科目:高中数学 来源:2015-2016学年宁夏石嘴山三中高二上第一次月考数学试卷(解析版) 题型:解答题

已知二次函数

(1)若,求函数上为增函数的概率;

(2)若,求关于的方程=0一根在区间内,另一根在外的概率.

查看答案和解析>>

科目:高中数学 来源:2015-2016学年江西省高二上第一次段考文数学卷(解析版) 题型:填空题

如图中,已知点边上,,则

的长为

查看答案和解析>>

科目:高中数学 来源:2015-2016学年吉林省高二上期中理科数学试卷(解析版) 题型:填空题

抛物线上的两点到焦点的距离之和为,则线段的中点到轴的距离是

查看答案和解析>>

科目:高中数学 来源:2015-2016学年福建省龙海市高二上学期期中理科数学试卷(解析版) 题型:解答题

已知,若的必要不充分条件,求实数m的取值范围.

查看答案和解析>>

同步练习册答案