精英家教网 > 高中数学 > 题目详情

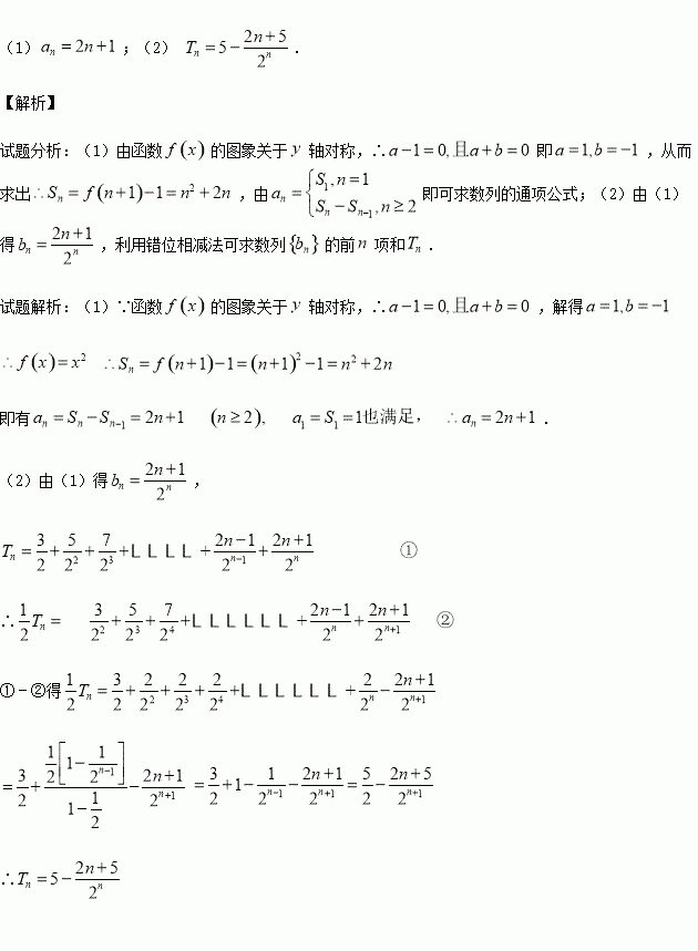
已知函数,当时,函数的图象关于轴对称,数列的前项和为,且

(1)求数列的通项公式;

(2)设,求数列的前项和

练习册系列答案
相关习题

科目:高中数学 来源: 题型:选择题

6.已知F1、F2分别是双曲线$\frac{x^2}{a^2}-\frac{y^2}{b^2}=1$的左、右焦点,P为双曲线右支上的任意一点且$\frac{{|P{F_1}{|^2}}}{{|P{F_2}|}}=8a$,则双曲线离心率的取值范围是(  )
A.(1,2]B.[2+∞)C.(1,3]D.[3,+∞)

查看答案和解析>>

科目:高中数学 来源:2017届四川成都七中高三10月段测数学(理)试卷(解析版) 题型:选择题

下表是降耗技术改造后生产甲产品过程中记录的产量(吨)与相应的生产能耗(吨标准煤)的几组对应数据,根据表中提供的数据,求出关于的线性回归方程,那么表中的值为?( )

A.4 B.3.5 C.3 D.4.5

查看答案和解析>>

科目:高中数学 来源:2017届山东潍坊临朐县高三10月月考数学(文)试卷(解析版) 题型:选择题

已知集合,若对于任意,存在,使得成立,则称集合是“理想集合”.给出下列4个集合:

.

其中所有“理想集合”的序号是( )

A.①③ B.②③

C.②④ D.③④

查看答案和解析>>

科目:高中数学 来源:2017届山东潍坊临朐县高三10月月考数学(文)试卷(解析版) 题型:选择题

下列函数中,既是奇函数又是减函数的是( )

A. B.

C. D.

查看答案和解析>>

科目:高中数学 来源:2017届江西省红色七校高三上学期联考一数学(文)试卷(解析版) 题型:填空题

已知直三棱柱中,,侧面的面积为,则直三棱柱外接球的半径的最小值为

查看答案和解析>>

科目:高中数学 来源:2017届江西省红色七校高三上学期联考一数学(文)试卷(解析版) 题型:选择题

实数,满足,若恒成立,则实数的取值范围是( )

A. B. C. D.

查看答案和解析>>

科目:高中数学 来源:2017届江西省红色七校高三上学期联考一数学(理)试卷(解析版) 题型:选择题

设双曲线的右焦点为,过点轴垂直的直线交两渐近线于两点,与双曲线的其中一个交点为,设坐标原点为,若,且,则该双曲线的渐近线为( )

A. B. C. D.

查看答案和解析>>

科目:高中数学 来源: 题型:填空题

3.已知三个正数a,b,c满足a≤b+c≤3a,3b2≤a(a+c)≤5b2,则$\frac{b-2c}{a}$的最小值是-$\frac{18}{5}$.

查看答案和解析>>

同步练习册答案