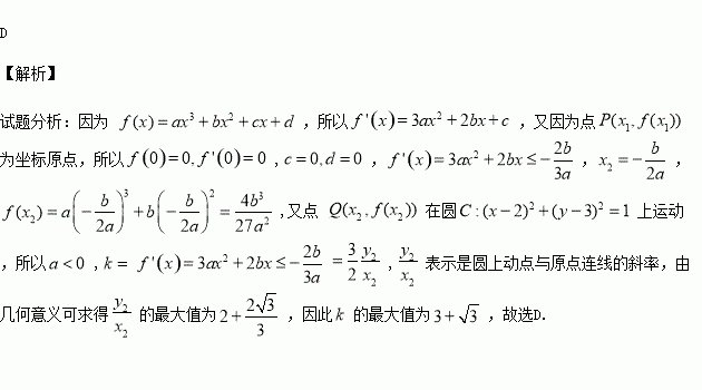
精英家教网 > 高中数学 > 题目详情

设函数有两个极值点,若点为坐标原点,点在圆上运动时,则函数图象的切线斜率的最大值为( )

A. B. C. D.

练习册系列答案
相关习题

科目:高中数学 来源:2015-2016学年河北定州中学高一上学期周练一数学试卷(解析版) 题型:选择题

下列函数中,既是偶函数,又是在区间(0,+)上单调递减的函数是( )

A. B. C. D.y=cosx

查看答案和解析>>

科目:高中数学 来源:2016届重庆一中高三5月模拟考试文科数学试卷(解析版) 题型:解答题

已知a、b、c分别为△三个内角A、B、C的对边,

(Ⅰ)求A;

(Ⅱ)若等差数列的公差不为零,且,且成等比数列,求的前n项和Sn.

查看答案和解析>>

科目:高中数学 来源:2016届重庆一中高三5月模拟考试理科数学试卷(解析版) 题型:解答题

已知函数

(1)当时,求不等式的解集;

(2)若的解集包含,求的范围.

查看答案和解析>>

科目:高中数学 来源:2016届重庆一中高三5月模拟考试理科数学试卷(解析版) 题型:解答题

已知数列中,,其前项和为,且当时,

(1)求证:数列是等比数列,并求数列的通项公式;

(2)令,记数列的前项和为,求

查看答案和解析>>

科目:高中数学 来源:2016届重庆一中高三5月模拟考试理科数学试卷(解析版) 题型:选择题

现有5人参加抽奖活动,每人依次从装有5张奖票(其中3张为中奖票)的箱子中不放回地随机抽取一张,直到3张中奖票都被抽出时活动结束,则活动恰好在第4人抽完后结束的概率为( )

A. B. C. D.

查看答案和解析>>

科目:高中数学 来源:2015-2016学年陕西省高二下期中理科数学试卷(解析版) 题型:解答题

设函数f(x)=在[1,+∞上为增函数。

(1)求 正实数a的取值范围.

(2)若a=1,求证:(n∈N*且n≥2)

查看答案和解析>>

科目:高中数学 来源:2015-2016学年陕西省高二下期中理科数学试卷(解析版) 题型:选择题

利用数学归纳法证明(n∈N*,且n≥2)时,第二步由k到

k+1时不等式左端的变化是( )

A.增加了这一项

B.增加了两项

C.增加了两项,同时减少了这一项

D.以上都不对

查看答案和解析>>

科目:高中数学 来源:2016届山东省济宁市高三下学期3月模拟考试文数试卷(解析版) 题型:选择题

将函数的图象向左平移个单位后,得到的函数图象关于直线轴对称,则的最小值为( )

A. B. C. D.

查看答案和解析>>

同步练习册答案