精英家教网 > 高中数学 > 题目详情

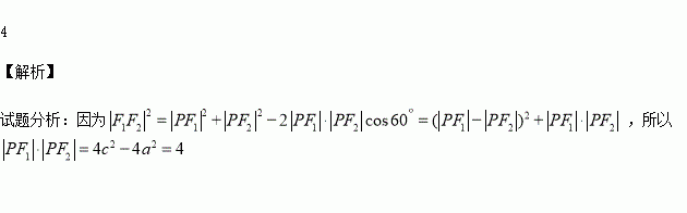
已知为双曲线的左、右焦点,点上,,则________.

练习册系列答案
相关习题

科目:高中数学 来源:2015-2016学年四川省雅安市高一下学期期中文科数学试卷(解析版) 题型:解答题

已知等比数列

(1)求通项

(2)若,数列的前项的和为,且,求的值.

查看答案和解析>>

科目:高中数学 来源:2015-2016学年贵州遵义一中高一下第二次联考数学试卷(解析版) 题型:解答题

已知数列满足:.

(1)求

(2)求证:是等差数列,并求出

(3)设,求证数列的前项和恒成立.

查看答案和解析>>

科目:高中数学 来源:2015-2016学年贵州遵义一中高一下第二次联考数学试卷(解析版) 题型:选择题

已知函数,则( )

A.0 B. C. D.9

查看答案和解析>>

科目:高中数学 来源:2016届山西省榆林市高三二模理科数学试卷(解析版) 题型:解答题

已知,直线为平面上的动点,过点的垂线,垂足为点,且.

(1)求动点的轨迹曲线的方程;

(2)设动直线与曲线相切于点,且与直线相交于点,试探究:在坐标平面内是否存在一个定点,使得以为直径的圆恒过此定点?若存在,求出定点的坐标;若不存在,说明理由.

查看答案和解析>>

科目:高中数学 来源:2016届山西省榆林市高三二模理科数学试卷(解析版) 题型:选择题

如图,在矩形中,,点的中点,点在边上,若,则的值是( )

A. B. C. D.

查看答案和解析>>

科目:高中数学 来源:2016届山西省榆林市高三二模理科数学试卷(解析版) 题型:选择题

在区间内随机取出两个数,则这两个数的平方和在区间内的概率为( )

A. B. C. D.

查看答案和解析>>

科目:高中数学 来源:2016届吉林省高三五模文科数学试卷(解析版) 题型:选择题

双曲线的一条渐近线与圆相切,则此双曲线的离心率为( )

A.2 B. C. D.

查看答案和解析>>

科目:高中数学 来源:2015-2016学年贵州遵义一中高二下联考理科数学试卷(解析版) 题型:填空题

设动直线与函数的图象分别交于两点,则的最小值为_________.

查看答案和解析>>

同步练习册答案