精英家教网 > 高中数学 > 题目详情

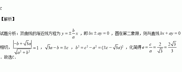
双曲线的一条渐近线与圆相切,则此双曲线的离心率为( )

A.2 B. C. D.

练习册系列答案
相关习题

科目:高中数学 来源:2015-2016学年四川省雅安市高一下学期期中理科数学试卷(解析版) 题型:选择题

在各项均为正数的等比数列中,若,则等于( )

A.5 B.6 C. 7 D.8

查看答案和解析>>

科目:高中数学 来源:2016届山西省榆林市高三二模理科数学试卷(解析版) 题型:填空题

已知为双曲线的左、右焦点,点上,,则________.

查看答案和解析>>

科目:高中数学 来源:2016届吉林省高三五模文科数学试卷(解析版) 题型:解答题

如图,已知圆的外接圆,边上的高,是圆的直径,

(1)证明:

(2)过点作圆的切线交的延长线于点,若,求的长

查看答案和解析>>

科目:高中数学 来源:2016届吉林省高三五模文科数学试卷(解析版) 题型:填空题

在正项等比数列中,若,且成等差数列,,数列的前项和为,则满足的最大正整数等于

查看答案和解析>>

科目:高中数学 来源:2016届吉林省高三五模文科数学试卷(解析版) 题型:选择题

已知数列的前项和为,且,则等于( )

A.7 B.8 C.15 D.16

查看答案和解析>>

科目:高中数学 来源:2016届吉林省高三五模理科数学试卷(解析版) 题型:解答题

如图,已知圆的外接圆,边上的高,是圆的直径,

(1)证明:

(2)过点作圆的切线交的延长线于点,若,求的长

查看答案和解析>>

科目:高中数学 来源:2016届吉林省高三五模理科数学试卷(解析版) 题型:选择题

,定义符号函数,则下列正确的是( )

A. B.

C. D.

查看答案和解析>>

科目:高中数学 来源:2016届安徽省高三最后一卷文科数学试卷(解析版) 题型:选择题

已知双曲线的左顶点与抛物线的焦点的距离为4,且双曲线的一条渐近线与抛物线的准线的交点坐标为,则双曲线的方程为( )

A. B. C. D.

查看答案和解析>>

同步练习册答案