精英家教网 > 高中数学 > 题目详情

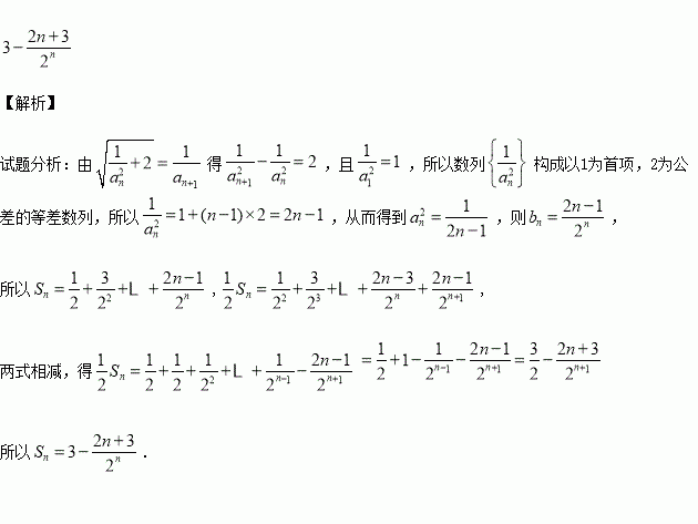
数列满足,记,则数列的前项和

练习册系列答案
相关习题

科目:高中数学 来源:2015-2016学年重庆一中高二下学期期中数学(理)试卷(解析版) 题型:填空题

集合满足条件,当时,我们将视为两个不同的集合对,则满足条件的集合对共有 个.

查看答案和解析>>

科目:高中数学 来源:2017届江西新余一中高三上学期开学考试数学(文)试卷(解析版) 题型:解答题

已知函数.

(1)试讨论函数的单调性;

(2)若不等式在区间上恒成立, 求的取值范围, 并证明:

.

查看答案和解析>>

科目:高中数学 来源:2017届江西新余一中高三上学期开学考试数学(文)试卷(解析版) 题型:选择题

已知等比数列中, ,则( )

A. B. C. D.

查看答案和解析>>

科目:高中数学 来源:2017届江西新余一中高三上学期开学考试数学(理)试卷(解析版) 题型:解答题

已知函数.

(1)试讨论函数的单调性;

(2)证明:.

查看答案和解析>>

科目:高中数学 来源:2017届江西新余一中高三上学期开学考试数学(理)试卷(解析版) 题型:选择题

已知矩形的边,点为边上一动点, 则当最大时, 线段的长为( )

A. B. C. D.

查看答案和解析>>

科目:高中数学 来源:2017届江西新余一中高三上学期开学考试数学(理)试卷(解析版) 题型:选择题

已知等比数列中, ,则( )

A. B. C. D.

查看答案和解析>>

科目:高中数学 来源:2016届云南玉溪市高三第三次教学质检数学(文)试卷(解析版) 题型:选择题

已知三棱锥的外接球为球,球的直径,且都是等边三角形,则三棱锥的体积是( )

A. B. C. D.

查看答案和解析>>

科目:高中数学 来源:2017届湖南长沙长郡中学高三入学考试数学(理)试卷(解析版) 题型:解答题

某城市城镇化改革过程中最近五年居民生活用水量逐年上升,下表是2011年至2015年的统计数据:

年份

2011

2012

2013

2014

2015

居民生活用水量(万吨)

236

246

257

276

286

(1)利用所给数据求年居民生活用水量与年份之间的回归方程

(2)根据改革方案,预计在2020年底城镇改革结束,到时候居民的生活用水量将趋于稳定,预测该城市2023年的居民生活用水量.

参考公式:.

查看答案和解析>>

同步练习册答案