精英家教网 > 高中数学 > 题目详情
已知数列{an}的前n项和为Sn,且Sn=﹣1(n∈N*).
(1)求数列{an}的通项公式;
(2)在数列{bn}中,b1=5,bn+1=bn+an,求数列{bn}的通项公式.
解:(1)当n=1时,
∴a1=2.
当n≥2时,


①﹣②得:,即an=3a n﹣1
∴数列{an}是首项为2,公比为3的等比数列.
∴an=2×3 n﹣1
(2)∵b n+1=bn+an,∴当n≥2时,bn=b n﹣1+2×3 n﹣2,b3=b2+2×3,b2=b1+2×30
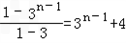
相加得bn=b1+2×(3 n﹣2+…+3+30)=5+
当n=1时,3 1﹣1+4=5=b1
∴bn=3 n﹣1+4.
练习册系列答案
相关习题

科目:高中数学 来源: 题型:

19、已知数列{an}的前n项和Sn=n2(n∈N*),数列{bn}为等比数列,且满足b1=a1,2b3=b4
(1)求数列{an},{bn}的通项公式;
(2)求数列{anbn}的前n项和.

查看答案和解析>>

科目:高中数学 来源: 题型:

已知数列{an}的前n项和Sn=an2+bn(a、b∈R),且S25=100,则a12+a14等于(  )
A、16B、8C、4D、不确定

查看答案和解析>>

科目:高中数学 来源: 题型:

已知数列{an}的前n项和Sn=n2+n+1,那么它的通项公式为an=
 

查看答案和解析>>

科目:高中数学 来源: 题型:

13、已知数列{an}的前n项和为Sn=3n+a,若{an}为等比数列,则实数a的值为
-1

查看答案和解析>>

科目:高中数学 来源: 题型:

已知数列{an}的前n项和Sn满足Sn+1=kSn+2,又a1=2,a2=1.
(1)求k的值及通项公式an
(2)求Sn

查看答案和解析>>

同步练习册答案