精英家教网 > 高中数学 > 题目详情

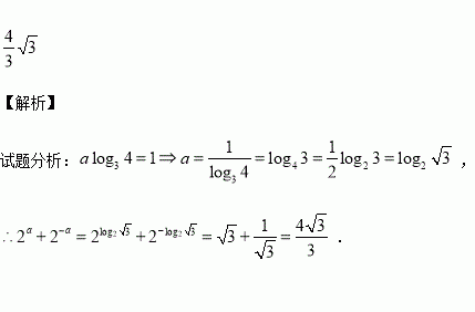
若alog34=1,则2a+2-a=

练习册系列答案
相关习题

科目:高中数学 来源:2016届西藏日喀则一中高三10月检测文科数学试卷(解析版) 题型:选择题

执行如图的程序框图,则输出的值为( )

A. B. C. D.

查看答案和解析>>

科目:高中数学 来源:2015-2016学年湖北宜昌一中高二上学期期中理科数学试卷(解析版) 题型:解答题

(本题满分12分)已知直线过点,并与直线分别交于点A、B,若线段AB被点P平分.求:

(Ⅰ)直线的方程;

(Ⅱ)以O为圆心且被l截得的弦长为的圆的方程.

查看答案和解析>>

科目:高中数学 来源:2015-2016学年广西桂林中学高二上期中考试理科数学试卷(解析版) 题型:填空题

已知,且 ,则的最小值为_____________.

查看答案和解析>>

科目:高中数学 来源:2016届四川省巴中市普通高中高三10月零诊考试文科数学试卷(解析版) 题型:选择题

若某程序框图如图所示,则该程序运行后输出i的值是( )

A.2 B.4 C.6 D.8

查看答案和解析>>

科目:高中数学 来源:2014-2015学年陕西省西安市高三上学期期中考试文科数学试卷(解析版) 题型:解答题

(满分12分)已知,且

(Ⅰ)用表示数量积

(Ⅱ)求的最小值,并求出此时的夹角.

查看答案和解析>>

科目:高中数学 来源:2014-2015学年陕西省西安市高三上学期期中考试理科数学试卷(解析版) 题型:选择题

,且,那么下面关系正确的是( )

A. B. C. D.

查看答案和解析>>

科目:高中数学 来源:2015-2016学年山西太原五中高二上第一次月考数学试卷(解析版) 题型:选择题

在梯形中,==2 =2=2.将梯形所在的直线旋转一周而形成的曲面所围成的几何体的体积为( )

A. B. C. D.

查看答案和解析>>

科目:高中数学 来源:2016届广东省惠州市高三上学期第二次调研考试理科数学试卷(解析版) 题型:解答题

(本小题满分12分)如图,直角梯形与等腰直角三角形所在的平面互相垂直.

(Ⅰ)求证:

(Ⅱ)求二面角余弦值.

查看答案和解析>>

同步练习册答案